汽车安全与节能学报 ›› 2022, Vol. 13 ›› Issue (3): 517-525.DOI: 10.3969/j.issn.1674-8484.2022.03.013
周泉1,2(
), 张策腾飞1, 李雁飞2,*(
), 帅斌1, 徐宏明1,2
收稿日期:2021-11-11
修回日期:2022-06-22
出版日期:2022-09-30
发布日期:2022-10-04
通讯作者:
李雁飞
作者简介:* 李雁飞(1985—),男(汉),江西,助理研究员。Email: liyf2018@tsinghua.edu.cn。基金资助:
ZHOU Quan1,2(
), ZHANG Cetengfei1, LI Yanfei2,*(
), SHUAI Bin1, XU Hongming1,2
Received:2021-11-11
Revised:2022-06-22
Online:2022-09-30
Published:2022-10-04
Contact:
LI Yanfei
摘要:
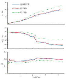
该文针对混动车辆能量管理策略开发任务,基于车辆数字孪生平台,提出了一种融合全局交叉验证和粒子群优化(PSO)的鲁棒优化算法,以获得高可靠性、适应性的能量管理策略。基于转鼓台架试验结果建立了某混动车辆数字孪生模型,定义了综合考虑车辆能量转换效率和电池剩余电量的控制效用指标,搭建了基于自适应神经模糊推理系统(ANFIS)能量管理控制器;利用粒子群鲁棒优化算法在JC08、WLTC、UDDS等国际常用行驶工况对控制器进行超参数优化,并基于硬件在环平台对优化结果进行了对比验证。结果表明:通过综合考虑训练工况和验证工况下的控制效用,粒子群鲁棒优化算法相比标准粒子群算法,能够提升11%以上的控制效用值,获得0.41%至27.92%的燃油经济性提升。
中图分类号:
周泉, 张策腾飞, 李雁飞, 帅斌, 徐宏明. 基于数字孪生和PSO算法的混动车辆能量管理策略鲁棒优化[J]. 汽车安全与节能学报, 2022, 13(3): 517-525.
ZHOU Quan, ZHANG Cetengfei, LI Yanfei, SHUAI Bin, XU Hongming. Robust optimization of energy management strategy in hybrid vehicles based on digital twin and PSO algorithm[J]. Journal of Automotive Safety and Energy, 2022, 13(3): 517-525.
| [1] | TAO Fei, ZHANG He, LIU Ang, et al. Digital twin in industry: State-of-the-art[J]. IEEE Trans Ind Info, 2019, 15(4): 2405-2415. |
| [2] | 徐宏明, 周泉. 人工智能在发动机控制开发中的应用及前景[J]. 汽车安全与节能学报, 2021, 12(2): 150-162. |
| XU Hongming, ZHOU Quan. Artificial intelligence technologies for engine control development: State-of-the-art review and outlook[J]. J Auto Safe Energ, 2021, 12(2): 150-162. (in Chinese) | |
| [3] | International Energy Agency. World energy outlook 2020[R/OL]. (2020-10-13), https://www.iea.org/events/world-energy-outlook-2020. |
| [4] | 新能源汽车产业发展规划(2021—2035年)[R]. 国务院办公厅,北京,2020. |
| New energy vehicle industry development plan (2021-2035)[R]. General Office of the Chinese State Council, Beijing,2020. (in Chinese) | |
| [5] | HUANG Yanjun, WANG Hong, Khajepour A, et al. A review of power management strategies and component sizing methods for hybrid vehicles[J]. Rene Sustain Energ Rev, 2018, 96: 132-144. |
| [6] | 杨超, 杜雪龙, 王伟达, 等. 智能网联环境下的 PHEV 实时优化能量管理策略研究[J]. 汽车安全与节能学报, 2021, 12(2): 210-218. |
| YANG Chao, DU Xuelong, WANG Weida, et al. Research on real-time optimization energy management strategy of PHEV under intelligent networking environment[J]. J Autom Safe Energ, 2021, 12(2): 210-218. (in Chinese) | |
| [7] |
PENG Jiankun, HE Hongwen, XIONG Rui. Rule based energy management strategy for a series-parallel plug-in hybrid electric bus optimized by dynamic programming[J]. Appl Energ, 2016, 185: 1633-1643.
doi: 10.1016/j.apenergy.2015.12.031 URL |
| [8] | ZHOU Quan, ZHAO Dezong, SHUAI Bin, et al. Knowledge implementation and transfer with an adaptive learning network for real-time power management of the plug-in hybrid vehicle[J]. IEEE Trans Neur Net Learn Syst, 2021, 32(12): 5298-5308. |
| [9] |
XIE Shaobo, HU Xiaosong, QI Shanwei, et al. An artificial neural network-enhanced energy management strategy for plug-in hybrid electric vehicles[J]. Energy, 2018, 163: 837-848.
doi: 10.1016/j.energy.2018.08.139 URL |
| [10] |
HUANG Yanjun, WANG Hong, Khajepour A, et al. Model predictive control power management strategies for HEVs: A review[J]. J Power Sources, 2017, 341: 91-106.
doi: 10.1016/j.jpowsour.2016.11.106 URL |
| [11] | Ali A M, Ghanbar A, Soffker D. Optimal control of multi-source electric vehicles in real time using advisory dynamic programming[J]. IEEE Trans Vehi Tech, 2019, 68(11): 10394-10405. |
| [12] |
Mura R, Utkin V, Onori S. Energy management design in hybrid electric vehicles: A novel optimality and stability framework[J]. IEEE Trans Contr Syst Tech, 2015, 23(4): 1307-1322.
doi: 10.1109/TCST.2014.2363617 URL |
| [13] |
LIU Teng, ZOU Yuan, LIU Dexing, et al. Reinforcement learning of adaptive energy management with transition probability for a hybrid electric tracked vehicle[J]. IEEE Trans Ind Elect, 2015, 62(12): 7837-7846.
doi: 10.1109/TIE.2015.2475419 URL |
| [14] | SHUAI Bin, ZHOU Quan, LI Ji, et al. Heuristic action execution for energy efficient charge-sustaining control of connected hybrid vehicles with model-free double Q-learning[J]. Appl Energ, 2020, 267, Paper ID: 114900. |
| [15] |
XU Bin, HU Xiaosong, TANG Xiaolin, et al. Ensemble reinforcement learning-based supervisory control of hybrid electric vehicle for fuel economy improvement[J]. IEEE Trans Transport Electrificat, 2020, 6(2):717-727.
doi: 10.1109/TTE.2020.2991079 URL |
| [16] |
ZHOU Quan, LI Ji, SHUAI Bin, et al. Multi-step reinforcement learning for model-free predictive energy management of an electrified off-highway vehicle[J]. Appl Energ, 2019, 255: 113755.
doi: 10.1016/j.apenergy.2019.113755 URL |
| [17] |
ZHOU Quan, LI Yanfei, ZHAO Dezong, et al. Transferable representation modelling for real-time energy management of the plug-in hybrid vehicle based on k-fold fuzzy learning and Gaussian process regression[J]. Appl Energ, 2022, 305: 117853.
doi: 10.1016/j.apenergy.2021.117853 URL |
| [18] | 刘灵芝, 张冰战, 蒋通. 基于工况自适应的 PHEV 等效燃油最小策略[J]. 汽车安全与节能学报, 2020, 11(3): 371-378. |
| LIU Lingzhi, ZHANG Bingzhan, JIANG Tong. Equivalent consumption minimization strategy for PHEV based on driving condition adaptation[J], 2020, 11 (3): 371-378. (in Chinese) | |
| [19] | ZHOU Quan, ZHANG Yunfan, LI Ziyang, et al. Cyber-physical energy-saving control for hybrid aircraft-towing tractor based on online swarm intelligent programming[J]. IEEE Trans Ind Info, 2018, 14(9): 4149-4158. |
| [20] |
HE Yinglong, ZHOU Quan, Makridis M, et al. Multiobjective co-optimization of cooperative adaptive cruise control and energy management strategy for PHEVs[J]. IEEE Trans Transport Electrificat, 2020, 6(1): 346-355.
doi: 10.1109/TTE.2020.2974588 URL |
| [21] |
LI Yangyang, WANG Shuqian, DUAN Xiongbo, et al. Multi-objective energy management for Atkinson cycle engine and series hybrid electric vehicle based on evolutionary NSGA-II algorithm using digital twins[J]. Energ Conv Manag, 2021, 230: 113788.
doi: 10.1016/j.enconman.2020.113788 URL |
| [22] |
张涛, 章佳莹, 王凌云, 等. 基于云模型粒子群算法的海岛交直流混合微网鲁棒优化运行[J]. 信息与控制, 2019, 48(4): 385-391.
doi: 10.13976/j.cnki.xk.2019.8402 |
| ZHANG Tao, ZHANG Jiaying, WANG Lingyun, et al. Obust optimization operation of island AC-DC hybrid micro-grid based on cloud model particle swarm optimization[J]. Info Contr, 2019, 48(4): 385-39. (in Chinese) | |
| [23] |
TAO Jun, SUN Gang, WANG Xinyu, et al. Robust optimization for a wing at drag divergence Mach number based on an improved PSO algorithm[J]. Aero Sci Tech, 2019, 92: 653-667.
doi: 10.1016/j.ast.2019.06.041 URL |
| [24] |
MA Guoqi, WANG Binquan, GE Shuzhi. Robust optimal control of connected and automated vehicle platoons through improved particle swarm optimization[J]. Transport Res Part C: Emerg Tech, 2022, 135: 103488.
doi: 10.1016/j.trc.2021.103488 URL |
| [25] | LI Ji, ZHOU Quan, HE Yinglong, et al. Driver-identified supervisory control system of hybrid electric vehicles based on spectrum-guided fuzzy feature extraction[J]. IEEE Trans Fuzz Syst, 2020, 28(11): 2691-2701. |
| [1] | 尹燕莉、张鑫新、潘小亮、詹森、黄学江、王福振 . 基于 FC+B 等效因子的 Q 学习燃料电池汽车能量管理策略[J]. 汽车安全与节能学报, 2022, 13(4): 785-795. |
| [2] | 宋波, 孙凯, 车志钊, 陈锐, 刘怀宇, 任美林, 王天友. 能量管理策略对燃料电池客车热管理系统性能的影响[J]. 汽车安全与节能学报, 2022, 13(3): 526-534. |
| [3] | 李敏清, 冯坚, 韩志玉. 串联式和增程式混合动力轻型商用车的性能对比[J]. 汽车安全与节能学报, 2022, 13(3): 550-559. |
| [4] | 尹燕莉, 马永娟, 周亚伟, 王瑞鑫, 詹森, 马什鹏, 黄学江, 张鑫新. Markov 链与Q-Learning算法的超轻度混动汽车模型预测控制[J]. 汽车安全与节能学报, 2021, 12(4): 557-569. |
| [5] | 付雪青, 王宝森, 杨建军, 高海洋, 何邦全, 赵华, 郭文翠, 刘双喜. 基于双状态动态规划混动汽车坡道生态驾驶策略[J]. 汽车安全与节能学报, 2021, 12(3): 373-379. |
| [6] | 杨超, 杜雪龙, 王伟达, 项昌乐. 智能网联环境下的PHEV实时优化能量管理策略研究[J]. 汽车安全与节能学报, 2021, 12(2): 210-218. |
| [7] | 刘建辉, 姚方方, 张彦. 混合动力汽车参数的交叉—变异蜂群算法优化[J]. 汽车安全与节能学报, 2021, 12(2): 186-192. |
| [8] | 王煜安, 罗佳鑫, 王亚超, 王欣, 葛蕴珊, 蒋震. 不同能量管理策略的增程电动汽车排放的实际道路试验[J]. 汽车安全与节能学报, 2021, 12(2): 219-225. |
| [9] | 童盛稳, 陈韬, 谢辉. 系统综合效率优化的插电式混合动力车辆的能量管理策略[J]. 汽车安全与节能学报, 2021, 12(1): 91-99. |
| [10] | 丁鹏, 邹晔, 张美娟, 蒋豪, 张鹏博. 混合动力发动机与动力电池冷却余热双向循环预热[J]. 汽车安全与节能学报, 2021, 12(1): 125-132. |
| [11] | 杜茂, 杨林, 金悦, 涂家毓. 基于交通时空特征的车辆全局路径规划算法[J]. 汽车安全与节能学报, 2021, 12(1): 52-61. |
| [12] | 牛亚卓, 聂国乐, 杨建军, 刘双喜, 白巴特尔. 基于多工况分析的插电式混合动力汽车节能控制策略[J]. 汽车安全与节能学报, 2020, 11(4): 546-552. |
| [13] | 邓涛, 罗远平 . 基于驾驶意图云模型识别的混合动力汽车 A-ECMS 的构建 [J]. 汽车安全与节能学报, 2020, 11(3): 305-313. |
| [14] | 刘灵芝, 张冰战, 蒋通. 基于工况自适应的 PHEV 等效燃油最小策略[J]. 汽车安全与节能学报, 2020, 11(3): 371-378. |
| [15] | 庞涵泽, 王立, 袁一卿 . 基于 DP 算法的新双模 PHEV 系统能量管理策略 [J]. 汽车安全与节能学报, 2020, 11(2): 227-235. |
| 阅读次数 | ||||||
|
全文 |
|
|||||
|
摘要 |
|
|||||