汽车安全与节能学报 ›› 2025, Vol. 16 ›› Issue (1): 86-96.DOI: 10.3969/j.issn.1674-8484.2025.01.009
收稿日期:2024-04-04
修回日期:2024-06-08
出版日期:2025-02-28
发布日期:2025-03-04
通讯作者:
* 郝瀚,副教授,博士生导师。E-mail:hao@tsinghua.edu.cn。
作者简介:杜世龙(2000—),男(汉),山东,博士研究生。E-mail:dsl18@tsinghua.org.cn。
基金资助:
DU Shilong1,2(
), HAO Han1,2,*(
)
Received:2024-04-04
Revised:2024-06-08
Online:2025-02-28
Published:2025-03-04
摘要:
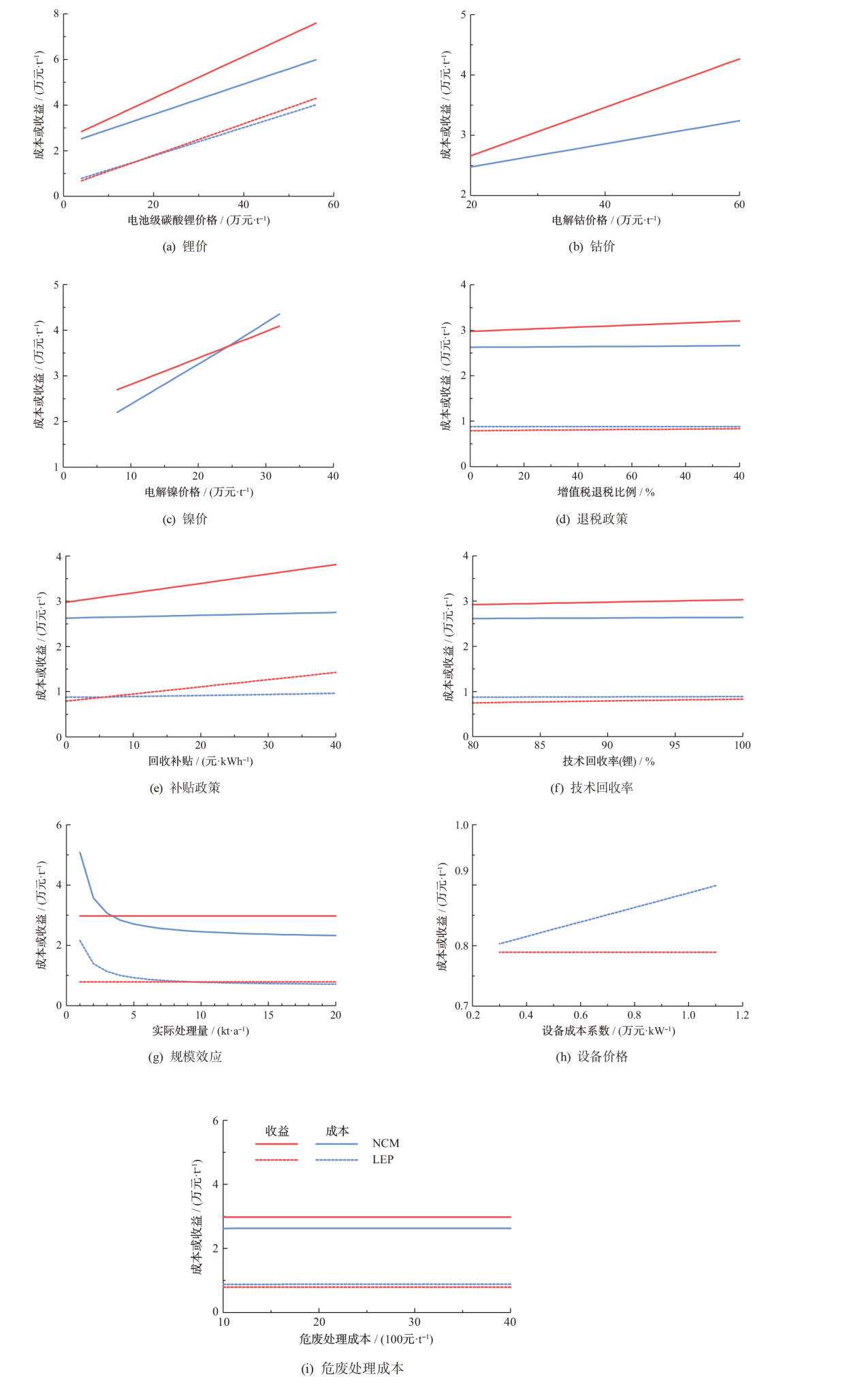
回收电动汽车动力电池是资源再生、避免污染的重要手段。本文构建了一个技术经济模型;提出了“理想折扣系数”的概念,用于评估回收定价体系的抗冲击能力。基于退役动力电池的回收过程,量化了回收成本的 10 类关键组成,定量分析了三元锂(NCM)和磷酸铁锂(LFP)电池湿法回收的成本和收益,讨论了市场、政策、技术等因素的影响。结果表明:在基准金属价格水平下,NCM 811 电池回收的净利润为3 493 元/t;除非提升锂价,湿法冶金回收 LFP 电池无法盈利。从而,若将锂纳入回收计价金属,则可降低回收折扣系数对电池关键原材料价格的敏感性。
中图分类号:
杜世龙, 郝瀚. 退役动力电池回收的经济性分析[J]. 汽车安全与节能学报, 2025, 16(1): 86-96.
DU Shilong, HAO Han. Economic analysis of recycling retired power batteries[J]. Journal of Automotive Safety and Energy, 2025, 16(1): 86-96.
| 类型 | 成本说明 |
|---|---|
| 退役电池购买成本 | 再生利用企业购买退役动力电池的成本 |
| 拆解成本 | 将电池从电池包拆解为单体的成本 |
| 运输成本 | 从回收网点到电池回收企业的运输成本 |
| 物料成本 | 回收所消耗辅助材料的购买成本 |
| 水电气成本 | 回收所消耗水、电、天然气的成本 |
| 设备成本 | 加工处理设备、仪表和控制装置、电力设施、管道等各类生产设备的购买和安装成本,以及后期维护投入 |
| 环保成本 | 环保设施投资及处理污染物产生的成本 |
| 人工成本 | 生产、研发、管理人员等所有岗位员工的工资 |
| 厂房成本 | 与土地租赁、厂房建设相关的成本 |
| 政策性成本 | 与政策相关的成本,包括税收、保险、碳排放成本等 |
| 类型 | 成本说明 |
|---|---|
| 退役电池购买成本 | 再生利用企业购买退役动力电池的成本 |
| 拆解成本 | 将电池从电池包拆解为单体的成本 |
| 运输成本 | 从回收网点到电池回收企业的运输成本 |
| 物料成本 | 回收所消耗辅助材料的购买成本 |
| 水电气成本 | 回收所消耗水、电、天然气的成本 |
| 设备成本 | 加工处理设备、仪表和控制装置、电力设施、管道等各类生产设备的购买和安装成本,以及后期维护投入 |
| 环保成本 | 环保设施投资及处理污染物产生的成本 |
| 人工成本 | 生产、研发、管理人员等所有岗位员工的工资 |
| 厂房成本 | 与土地租赁、厂房建设相关的成本 |
| 政策性成本 | 与政策相关的成本,包括税收、保险、碳排放成本等 |
| 项目 | 数值 | 参考 文献 | |
|---|---|---|---|
| 工厂及设备 | 设计年处理量,mcap | 20 kt | [ |
| 实际年处理量,mthru | 6 kt | - | |
| 工厂面积,S | NCM:42 9 m2; LFP:23 4 m2 | [ | |
| 土地转让价格,pland | 419 元 / m2 | - | |
| 土地转让年限,nland | 50 a | [ | |
| 工厂寿命,nplnt | 30 a | - | |
| 环保设施投资 | NCM:771 万元; LFP:626 万元 | [ | |
| 设备寿命,n | 10 a | [ | |
| 维护维修成本系数,k | 0.05 | [ | |
| 设备残值率,r | 5% | - | |
| 市场及政策 | LFP电池回收价格 (基本假设) | 3 000 元/t | [ |
| 电池级碳酸锂价格 | 5.5~56.8 万元 / t | - | |
| 电解钴价格 | 27.9~34.7 万元 / t | - | |
| 电解镍价格 | 12.8~20.2 万元 / t | - | |
| 利率,i | 10% | [ | |
| 退税比例 | 0% | - | |
| 回收补贴 | 0 元 / kWh | - | |
| 增值税率-常规 | 6%~13% | [ | |
| 所得税率-常规 | 25% | [ | |
| 所得税率-电池回收 | 15% | [ | |
| 运输 | 包装重量系数,kpack | 1.1 | [ |
| 运输距离,s | 1 600 km | [ | |
| 单位运输成本,ct | 0.20 元 / (km·t) | [ | |
| α(折扣系数) | NCM(基本假设) | 0.70 | [ |
| NCM(高位价格) | 2.01 | [ | |
| LFP | 0.72 | - | |
| bj(价格折扣) | 氯化锂 | 1.00 | - |
| 氯化镍、氯化钴混合物 | 0.85 | - | |
| 副产物 | 0.70 | - | |
| 技术 回收率 | Li | 90% | [ |
| Co | 98% | [ | |
| Ni | 98% | [ | |
| 塑料 | 50% | [ | |
| 其他副产品 | 80% | - | |
| 其他 | 拆解成本 | 400 元 / t | [ |
| 废水处理价格 | 1.4 元 / t | [ | |
| 危废处理价格 | 2 950 元 / t | [ | |
| 员工基准工作时间,t0 | 12个月 | - |
| 项目 | 数值 | 参考 文献 | |
|---|---|---|---|
| 工厂及设备 | 设计年处理量,mcap | 20 kt | [ |
| 实际年处理量,mthru | 6 kt | - | |
| 工厂面积,S | NCM:42 9 m2; LFP:23 4 m2 | [ | |
| 土地转让价格,pland | 419 元 / m2 | - | |
| 土地转让年限,nland | 50 a | [ | |
| 工厂寿命,nplnt | 30 a | - | |
| 环保设施投资 | NCM:771 万元; LFP:626 万元 | [ | |
| 设备寿命,n | 10 a | [ | |
| 维护维修成本系数,k | 0.05 | [ | |
| 设备残值率,r | 5% | - | |
| 市场及政策 | LFP电池回收价格 (基本假设) | 3 000 元/t | [ |
| 电池级碳酸锂价格 | 5.5~56.8 万元 / t | - | |
| 电解钴价格 | 27.9~34.7 万元 / t | - | |
| 电解镍价格 | 12.8~20.2 万元 / t | - | |
| 利率,i | 10% | [ | |
| 退税比例 | 0% | - | |
| 回收补贴 | 0 元 / kWh | - | |
| 增值税率-常规 | 6%~13% | [ | |
| 所得税率-常规 | 25% | [ | |
| 所得税率-电池回收 | 15% | [ | |
| 运输 | 包装重量系数,kpack | 1.1 | [ |
| 运输距离,s | 1 600 km | [ | |
| 单位运输成本,ct | 0.20 元 / (km·t) | [ | |
| α(折扣系数) | NCM(基本假设) | 0.70 | [ |
| NCM(高位价格) | 2.01 | [ | |
| LFP | 0.72 | - | |
| bj(价格折扣) | 氯化锂 | 1.00 | - |
| 氯化镍、氯化钴混合物 | 0.85 | - | |
| 副产物 | 0.70 | - | |
| 技术 回收率 | Li | 90% | [ |
| Co | 98% | [ | |
| Ni | 98% | [ | |
| 塑料 | 50% | [ | |
| 其他副产品 | 80% | - | |
| 其他 | 拆解成本 | 400 元 / t | [ |
| 废水处理价格 | 1.4 元 / t | [ | |
| 危废处理价格 | 2 950 元 / t | [ | |
| 员工基准工作时间,t0 | 12个月 | - |
| 项目 | 数量 | 价格或工资 | ||
|---|---|---|---|---|
| NCM 811 | LFP | |||
| 原材料 | 盐酸(30%) | 1.912 kg | 0.325 kg | 200 元 / t |
| 铁粉 | 0.004 kg | - | 1.10 万元 / t | |
| 双氧水 (27.5%) | 0.022 kg | 0.026 kg | 1 000 元 / t | |
| 氢氧化钠 (32%) | 1.001 kg | 0.363 kg | 1 200 元 / t | |
| 煤油 | 0.001 kg | - | 1.05 万元 / t | |
| 氯化钙 | - | 0.357 kg | 2 500 元 / t | |
| 公用 工程 | 水 | 0.578 kg | 0.414 kg | 4.1 元 / m3 |
| 电能 | 0.617 kWh | 0.353 kWh | 0.725 元 / kWh | |
| 主要 产物 | 氯化锂 | 0.103 kg | 0.079 kg | 4.75~50.00 万元 / t |
| 六水合 氯化钴 | 0.063 kg | - | 6.95~12.00 万元 / t | |
| 六水合 氯化镍 | 0.505 kg | - | 3.80~4.80 万元 / t | |
| 副产物 | 铜 | 0.125 kg | 0.108 kg | 4.26 万元 / t |
| 铝 | 0.063 kg | 0.056 kg | 1.27 万元 / t | |
| 塑料 | 0.012 kg | 0.009 kg | 0. 90 万元 / t | |
| 石墨 | 0.154 kg | 0.135 kg | 4 000 元 / t | |
| 人员 工资 | 生产操作 | 102人 | 50人 | 5 000 元 / 月 |
| 设备维修 | 6人 | 2人 | 6 000 元 / 月 | |
| 车间管理 | 6人 | 2人 | 7 000 元 / 月 | |
| 品管人员 | 12人 | 4人 | 1.00 万元 / 月 | |
| 技术市场 | 31人 | 31人 | 1.50 万元 / 月 | |
| 高层管理 | 4人 | 4人 | 2.50 万元 / 月 | |
| 项目 | 数量 | 价格或工资 | ||
|---|---|---|---|---|
| NCM 811 | LFP | |||
| 原材料 | 盐酸(30%) | 1.912 kg | 0.325 kg | 200 元 / t |
| 铁粉 | 0.004 kg | - | 1.10 万元 / t | |
| 双氧水 (27.5%) | 0.022 kg | 0.026 kg | 1 000 元 / t | |
| 氢氧化钠 (32%) | 1.001 kg | 0.363 kg | 1 200 元 / t | |
| 煤油 | 0.001 kg | - | 1.05 万元 / t | |
| 氯化钙 | - | 0.357 kg | 2 500 元 / t | |
| 公用 工程 | 水 | 0.578 kg | 0.414 kg | 4.1 元 / m3 |
| 电能 | 0.617 kWh | 0.353 kWh | 0.725 元 / kWh | |
| 主要 产物 | 氯化锂 | 0.103 kg | 0.079 kg | 4.75~50.00 万元 / t |
| 六水合 氯化钴 | 0.063 kg | - | 6.95~12.00 万元 / t | |
| 六水合 氯化镍 | 0.505 kg | - | 3.80~4.80 万元 / t | |
| 副产物 | 铜 | 0.125 kg | 0.108 kg | 4.26 万元 / t |
| 铝 | 0.063 kg | 0.056 kg | 1.27 万元 / t | |
| 塑料 | 0.012 kg | 0.009 kg | 0. 90 万元 / t | |
| 石墨 | 0.154 kg | 0.135 kg | 4 000 元 / t | |
| 人员 工资 | 生产操作 | 102人 | 50人 | 5 000 元 / 月 |
| 设备维修 | 6人 | 2人 | 6 000 元 / 月 | |
| 车间管理 | 6人 | 2人 | 7 000 元 / 月 | |
| 品管人员 | 12人 | 4人 | 1.00 万元 / 月 | |
| 技术市场 | 31人 | 31人 | 1.50 万元 / 月 | |
| 高层管理 | 4人 | 4人 | 2.50 万元 / 月 | |
| 项目 | 成本 / (万元·t-1) | ||
|---|---|---|---|
| 本文 | 引文[ | 引文[ | |
| 总成本 | 3.14 | 3.82 | 2.79 |
| 电池购买成本 | 1.91 | 1.99 | - |
| 物料成本 | 0.18 | 0.30 | - |
| 水电气成本 | 0.04 | 0.43 | - |
| 其他成本 | 1.00 | 1.10 | - |
| 总收益 | 3.48 | - | 3.75 |
| 钴(盐) | 1.57 | - | 2.22 |
| 镍(盐) | 0.86 | - | 0.44 |
| 铜 | 0.34 | - | 0.33 |
| 锂(盐) | 0.62 | - | 0.62 |
| 其他 | 0.10 | - | 0.13 |
| 项目 | 成本 / (万元·t-1) | ||
|---|---|---|---|
| 本文 | 引文[ | 引文[ | |
| 总成本 | 3.14 | 3.82 | 2.79 |
| 电池购买成本 | 1.91 | 1.99 | - |
| 物料成本 | 0.18 | 0.30 | - |
| 水电气成本 | 0.04 | 0.43 | - |
| 其他成本 | 1.00 | 1.10 | - |
| 总收益 | 3.48 | - | 3.75 |
| 钴(盐) | 1.57 | - | 2.22 |
| 镍(盐) | 0.86 | - | 0.44 |
| 铜 | 0.34 | - | 0.33 |
| 锂(盐) | 0.62 | - | 0.62 |
| 其他 | 0.10 | - | 0.13 |
| [1] | 郭丽丽. 动力电池回收:从“0”到“1000”,尽享行业发展红利[EB/OL]. (2022-08-01). https://pdf.dfcfw.com/pdf/H3_AP202208011576751772_1.pdf?1659372203000.pdf. |
| GUO Lili. Power battery recycling: from "0" to "1000", fully enjoy the dividend of industry development[EB/OL]. (2022-08-01). https://pdf.dfcfw.com/pdf/H3_AP202208011576751772_1.pdf?1659372203000.pdf. (in Chinese) | |
| [2] | XIAO Jiefeng, LI Jia, XU Zhenming. Novel approach for in situ recovery of lithium carbonate from spent lithium ion batteries using vacuum metallurgy[J]. Envir Sci Tec, 2017, 51(20): 11960-11966. |
| [3] | YANG Yongxia, MENG Xiangqi, CAO Hongbin, et al. Selective recovery of lithium from spent lithium iron phosphate batteries: a sustainable process[J]. Green Chem, 2018, 20(13): 3121-3133. |
| [4] | Ciez R E, Whitacre J F. Examining different recycling processes for lithium-ion batteries[J]. Nat Sustai, 2019, 2(2): 148-156. |
| [5] | YU Meihan, BAI Bo, XIONG Siqin, et al. Evaluating environmental impacts and economic performance of remanufacturing electric vehicle lithium-ion batteries[J]. J Cleaner Prod, 2021, 321: Paper No. 128935. |
| [6] | XIONG Siqin, JI Junping, MA Xiaoming. Environmental and economic evaluation of remanufacturing lithium-ion batteries from electric vehicles[J]. Waste Mana, 2020, 102: 579-586. |
| [7] | Lander L, Cleaver T, Rajaeifar M A, et al. Financial viability of electric vehicle lithium-ion battery recycling[J]. iScienc, 2021, 24(7): Paper No. 102787. |
| [8] | 安徽道明能源科技有限公司. 安徽道明能源科技有限公司废旧锂电池拆解及综合利用项目环境影响报告书[EB/OL]. (2020-02-01). https://sthjj.chuzhou.gov.cn/download/5e5cb55be4b066dbdcb9119c. |
| Anhui Daoming Energy Technology Co., Ltd. Waste lithium battery dismantling and comprehensive utilization project environmental impact report[EB/OL]. (2020-02-01). https://sthjj.chuzhou.gov.cn/download/5e5cb55be4b066dbdcb9119c. (in Chinese) | |
| [9] | FAN Ersha, LI Li, WANG Zhenpo, et al. Sustainable recycling technology for Li-ion batteries and beyond: challenges and future prospects[J]. Chem Re, 2020, 120(14): 7020-7063. |
| [10] | 国务院. 中华人民共和国城镇国有土地使用权出让和转让暂行条例[EB/OL]. (2020-11-29). https://flk.npc.gov.cn/detail2.html?ZmY4MDgwODE3NzdkMGM5NDAxNzdiOGMyZjU5ODM2NWQ. |
| The State Council China. Provisional regulations on the granting and transfer of the right to use of state-owned land in the People's Republic of China[EB/OL]. (2020-11-29). https://flk.npc.gov.cn/detail2.html?ZmY4MDgwODE3NzdkMGM5NDAxNzdiOGMyZjU5ODM2NWQ. (in Chinese) | |
| [11] | 国务院. 中华人民共和国企业所得税法实施条例[EB/OL]. (2019-04-23). https://www.gov.cn/gongbao/content/2019/content_5468940.htm. |
| The State Council China. Implementation regulations for the corporate income tax law of the People's Republic of China[EB/OL]. (2019-04-23). https://www.gov.cn/gongbao/content/2019/content_5468940.htm. (in Chinese) | |
| [12] | 施芸芸, 孙焕玉. 动力电池回收企业缘何难享红利[EB/OL]. (2022-12-01). http://www.cnautonews.com/lingbujian/2022/12/01/detail_20221201354141.html. |
| SHI Yunyun, SUN Huanyu. Why is it difficult for power battery recycling companies to enjoy dividends[EB/OL]. (2022-12-01). http://www.cnautonews.com/lingbujian/2022/12/01/detail_20221201354141.html. (in Chinese) | |
| [13] | 财政部. 关于深化增值税改革有关政策的公告[EB/OL]. (2019-03-20). http://www.chinatax.gov.cn/n810341/n810755/c4160283/content.html. |
| Ministry of Finance China. Announcement on policies related to deepening the reform of VAT[EB/OL]. (2019-03-20). http://www.chinatax.gov.cn/n810341/n810755/c4160283/content.html. (in Chinese) | |
| [14] | 国务院. 中华人民共和国企业所得税法[EB/OL]. (2018-12-29). https://fgk.chinatax.gov.cn/zcfgk/c100009/c5193018/content.html. |
| The State Council China. Corporate income tax law of the People’s Republic of China[EB/OL]. (2018-12-29). https://fgk.chinatax.gov.cn/zcfgk/c100009/c5193018/content.html. (in Chinese) | |
| [15] | Argonne National Laboratory. EverBatt: Argonne’s closed-loop battery recycling model clears path to clean transportation[DB/OL]. [2022-04-08]. https://www.anl.gov/amd/everbatt-download. |
| [16] | 中物联公路货运分会. 2021年公路货运行业重点企业经营情况调查报告[EB/OL]. (2022-09-28). http://www.logclub.com/articleInfo/NTQwNTk=. |
| The Sub Committee for Freight Industry of CFLP. Survey report on the business operations of key companies in the road freight industry in 2021[EB/OL]. (2022-09-28). http://www.logclub.com/articleInfo/NTQwNTk=. (in Chinese) | |
| [17] | 叶玲珍, 毛可馨, 孙孝熙. 原材料涨价引爆动力电池回收产业渠道成竞争关键[EB/OL]. (2022-03-21). https://www.stcn.com/article/detail/636369.html. |
| YE Lingzhen, MAO Kexin, SUN Xiaoxi. Rising prices of raw materials lead to a boom in the power battery recycling industry, with channels becoming a key factor in competition[EB/OL]. (2022-03-21). https://www.stcn.com/article/detail/636369.html. (in Chinese) | |
| [18] | 工信部. 新能源汽车废旧动力蓄电池综合利用行业规范条件[EB/OL]. (2020-01-02). https://wap.miit.gov.cn/zwgk/zcwj/wjfb/gg/art/2020/art_c1073817285c4b26a9fb34ed75a2e69d.html. |
| Ministry of Industry and Information Technology China. Regulatory conditions for comprehensive utilization of retired power batteries from new energy vehicles[EB/OL]. (2020-01-02). https://wap.miit.gov.cn/zwgk/zcwj/wjfb/gg/art/2020/art_c1073817285c4b26a9fb34ed75a2e69d.html. (in Chinese) | |
| [19] | 国家发改委. 政府定价的经营服务性收费目录清单[EB/OL]. (2024-01-30). https://www.gov.cn/zhengce/zhengceku/202402/content_6931244.htm. |
| National Development and Reform Commission (China). Government-priced directory of fees for business services[EB/OL]. (2024-01-30). https://www.gov.cn/zhengce/zhengceku/202402/content_6931244.htm. (in Chinese) | |
| [20] | Argonne National Laboratory. GREET: The greenhouse gases, regulated eemissions, and energy use in technologies model[DB/OL]. [2022-05-07]. https://greet.anl.gov/. |
| [21] | 财政部. 关于完善资源综合利用增值税政策的公告[EB/OL]. (2021-12-30). https://fgk.chinatax.gov.cn/zcfgk/c102416/c5202062/content.html. |
| Ministry of Finance China. Announcement on improving the VAT policy for comprehensive utilization of resources[EB/OL]. (2021-12-30). https://fgk.chinatax.gov.cn/zcfgk/c102416/c5202062/content.html. (in Chinese) |
| [1] | 张金秀, 闫彩红, 任桂周. 基于Gauss过程分数位回归模型的锂电池SOH估计[J]. 汽车安全与节能学报, 2024, 15(6): 886-894. |
| [2] | 邱帅帅, 张甫仁, 孙世政, 陶远兵, 陶佳辉, 谭海坤. 基于多目标优化的液冷板散热性能分析[J]. 汽车安全与节能学报, 2024, 15(6): 905-914. |
| [3] | 吴桐, 黄凯, 刘志远, 蒋玮. 交通网络和电力网络融合承载力的研究综述[J]. 汽车安全与节能学报, 2024, 15(5): 634-649. |
| [4] | 郝祯淇, 王学远, 李嘉伟, 戴海峰, 魏学哲. 基于特征阻抗及滑动t方法的变电流快充析锂检测方法[J]. 汽车安全与节能学报, 2024, 15(3): 344-350. |
| [5] | 徐宏明. 欧洲汽车动力系统多元化的发展趋势和展望[J]. 汽车安全与节能学报, 2024, 15(2): 137-153. |
| [6] | 王居闯, 曹清林, 邱睿, 宋刘伟, 郭平安, 赵港. 在侧面碰撞中电动汽车电池模块破损的预测[J]. 汽车安全与节能学报, 2024, 15(2): 169-177. |
| [7] | 薛耀, 刘洁, 李伟峰, 高镇海, 王贺武. 基于钴酸锂/镍酸锂体系的18650锂离子电池针刺滥用热失控颗粒喷发物特性[J]. 汽车安全与节能学报, 2024, 15(2): 193-198. |
| [8] | 朱亚宁, 张振东, 盛雷, 陈龙, 朱泽华, 付林祥, 毕青. 21700锂离子电池在不同SOC下的热失控实验研究[J]. 汽车安全与节能学报, 2024, 15(2): 218-225. |
| [9] | 朱明, 季金华, 金盛, 季毓婷, 别一鸣. 电动汽车与清洁能源融合发展技术研究与展望[J]. 汽车安全与节能学报, 2024, 15(1): 1-19. |
| [10] | 徐明诚, 徐利伟, 殷国栋, 董锋威. 燃油车和纯电车混杂智能网联队列系统的节能与稳定控制[J]. 汽车安全与节能学报, 2024, 15(1): 71-82. |
| [11] | 李涵, 王炎, 张西龙, 王贺武, 李亚伦, 卢兰光. 热辐射触发锂离子电池热失效行为及其射流热特性[J]. 汽车安全与节能学报, 2024, 15(1): 83-91. |
| [12] | 李志文, 焦晓红, 张婷. 基于多胞体系统的FWID EV鲁棒加权增益调度轨迹跟踪控制[J]. 汽车安全与节能学报, 2024, 15(1): 111-120. |
| [13] | 安钟衍, 宋盼盼, 鲁振博, 郑思宇, 魏名山, 诸葛伟林, 张扬军. 电动汽车CO2空调涡旋压缩机变工况工作特性[J]. 汽车安全与节能学报, 2023, 14(4): 488-495. |
| [14] | 张一西, 赵轩, 马建, 王兴路, 胡月琦. 基于NFTSMC的分布式驱动电动汽车稳定性控制[J]. 汽车安全与节能学报, 2023, 14(2): 212-223. |
| [15] | 贾凡, 王谙词, 殷翔, 曹锋, 刘和成. 不同控制策略下新能源汽车跨临界CO2热泵最优运行特性[J]. 汽车安全与节能学报, 2022, 13(4): 770-777. |
| 阅读次数 | ||||||
|
全文 |
|
|||||
|
摘要 |
|
|||||