Welcome to Journal of Automotive Safety and Energy,

Journal of Automotive Safety and Energy ›› 2024, Vol. 15 ›› Issue (2): 169-177.DOI: 10.3969/j.issn.1674-8484.2024.02.004

• Automotive Safety • Previous Articles     Next Articles

Prediction of battery-module damage in electric-vehicle side-collisions

WANG Juchuang1(), CAO Qinglin1,*(), QIU Rui1, SONG Liuwei2, GUO Ping'an3, ZHAO Gang1   

  1. 1. School of Mechanical Engineering, Jiangsu University of Technology, Changzhou 213001, China
    2. School of Mathematics and Statistics, Anhui Normal University, Wuhu 241000, China
    3. China Machinery Industy Technology Research Institute of Precision Forming, Wuhu 241000, China
  • Received:2023-09-18 Revised:2024-01-17 Online:2024-04-30 Published:2024-04-27

Abstract:

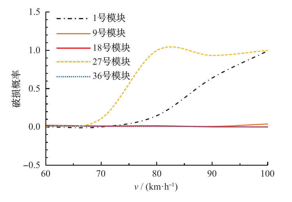
A finite element model was developed to simulate side-collision scenarios on a new type of energy-vehicle (EV) battery-pack to enhance the battery safety of EVs in the side-collision accidents. Using LS-DYNA, five different collision simulations were performed at various speeds. The stress curves at the geometric center of the battery pack's side wall and the battery module damage conditions were extracted. A predictive neural network model from the back propagation (BP) was established for battery module collision damage based on the correlation between the stress curves and the battery-module damage-conditions factors. The model's input quantity was the stress curves, and the output vector was the module damage conditions. The results show that three blocks at five different speeds are predicted incorrectly after collisions, while the remaining 177 blocks are predicted correctly with an accuracy rate of 98.33%. Therefore, this algorithm's design enables the identification of specific modules prone to damage in electric vehicles during side collisions, which holds significant implications for enhancing overall electric vehicle safety.

Key words: electric vehicles (EV), battery module, side-collision, damage prediction, back propagation (BP) neural network, finite element (FE) simulation

CLC Number: