汽车安全与节能学报 ›› 2025, Vol. 16 ›› Issue (2): 268-276.DOI: 10.3969/j.issn.1674-8484.2025.02.010
杨建军1(
), 柳东威1,2, 李菁元1, 柳邵辉1, 张飞龙1, 王梦渊1
收稿日期:2024-10-29
修回日期:2024-11-28
出版日期:2025-04-30
发布日期:2025-04-22
作者简介:杨建军(1980—),男(汉),四川,正高级工程师。E-mail:Yangjianjun@catarc.ac.cn。
基金资助:
YANG Jianjun1(
), LIU Dongwei1,2, LI Jingyuan1, LIU Shaohui1, ZHANG Feilong1, WANG Mengyuan1
Received:2024-10-29
Revised:2024-11-28
Online:2025-04-30
Published:2025-04-22
摘要:
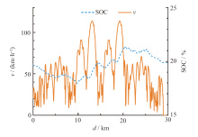
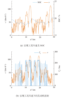
为了推动汽车节能国家标准的制定,研究了插电式和非插电式的混合动力汽车的道路预见性节能技术,并提出了一种测试评价方法。提出了用于道路预见性技术使用的地图数据信息及其标准化;采用全局动态规划算法,得到荷电状态(SOC)参考曲线;基于比例积分(PI)控制,实现参考SOC的跟踪控制;基于仿真结果分析初始SOC(20%~30%)、测试工况和测试里程等影响因素,提出转鼓实验法,实现标准化测试评价。对某车辆的转鼓测试的节能效果进行评价。结果表明:该车辆的转鼓测试,节能3.97%,SOC变化趋势符合预期。从而,证明了转鼓测试评价方法的可行性。
中图分类号:
杨建军, 柳东威, 李菁元, 柳邵辉, 张飞龙, 王梦渊. 混合动力汽车的道路预见性节能技术及一种测评方法[J]. 汽车安全与节能学报, 2025, 16(2): 268-276.
YANG Jianjun, LIU Dongwei, LI Jingyuan, LIU Shaohui, ZHANG Feilong, WANG Mengyuan. Predictive energy-saving technologies of hybrid electric vehicles and an evaluation method[J]. Journal of Automotive Safety and Energy, 2025, 16(2): 268-276.
| 车辆状态 | |
|---|---|
| 车辆当前位置/ m | 32,32,128 |
| 导航剩余里程/ km | 28.91,27.90,25.89 |
| 电子地平线状态* | 0,1,1 |
| 道路特征 | |
| 第n段路线长度/ m | 0,32,64,96,128 |
| 第n段拥堵状态** | 0,1,2 |
| 第n段通行时间/ s | 10,20,30 |
| 第n段对应的平均车速/ km/h | 19.7,27.9,31.2 |
| 第n段对应的道路坡度/ % | 3.2,5,4 |
| 车辆状态 | |
|---|---|
| 车辆当前位置/ m | 32,32,128 |
| 导航剩余里程/ km | 28.91,27.90,25.89 |
| 电子地平线状态* | 0,1,1 |
| 道路特征 | |
| 第n段路线长度/ m | 0,32,64,96,128 |
| 第n段拥堵状态** | 0,1,2 |
| 第n段通行时间/ s | 10,20,30 |
| 第n段对应的平均车速/ km/h | 19.7,27.9,31.2 |
| 第n段对应的道路坡度/ % | 3.2,5,4 |
| 整备质量 | 1.713 t |
|---|---|
| 轮胎半径 | 0.347 m |
| 滑行阻力因数* | a = 155.74,b = 1.33,c = 0.039 |
| 发动机额定功率 | 106 kW |
| 发动机最大扭矩 | 227 Nm |
| 驱动电机峰值功率 | 135 kW |
| 发电机峰值功率 | 80 kW |
| 电池容量 | 31 Ah |
| 整备质量 | 1.713 t |
|---|---|
| 轮胎半径 | 0.347 m |
| 滑行阻力因数* | a = 155.74,b = 1.33,c = 0.039 |
| 发动机额定功率 | 106 kW |
| 发动机最大扭矩 | 227 Nm |
| 驱动电机峰值功率 | 135 kW |
| 发电机峰值功率 | 80 kW |
| 电池容量 | 31 Ah |
| [1] | 国家市场监督管理总局, 国家标准化管理委员会. 轻型混合动力电动汽车能量消耗量试验方法: GB/T 19753-2021 [S]. 北京: 中国标准出版社, 2021. |
| State Administration for Market Regulation of the People’s Republic of China, Standardization Administration of the People’s Republic of China. Test methods for energy consumption of light-duty hybrid electric vehicles: GB/T 19753—2021 [S]. Beijing: China Standard Press, 2021. (in Chinese) | |
| [2] | 中华人民共和国国家市场监督管理总局, 中华人民共和国国家标准化管理委员会. 乘用车燃料消耗量限值: GB 19578—2021 [S]. 北京: 中国标准出版社, 2021. |
| State Administration for Market Regulation of the People’s Republic of China, Standardization Administration of the People’s Republic of China. Fuel Consumption Limits for Passenger Cars: GB19578—2021 [S]. Beijing: China Standard Press, 2021. (in Chinese) | |
| [3] | 许敏, 张亦嘉. 中国混合动力汽车动力总成技术进展[J]. 汽车安全与节能学报, 2024, 15(3): 269-294. |
| XU Min,ZHANG Yijia. Advancements in the powertrain technology of hybrid electric vehicles in China[J]. J Autom Safe Energ, 2024, 15(3): 269-294. (in Chinese) | |
| [4] | 李东兵, 王妮, 马涛涛. 混合动力汽车能量管理策略研究[J]. 机械设计与制造, 2024(6): 193-197, 203. |
| LI Dongbing, WANG Ni, MA Taotao. Research on energy management strategy of hybrid electric vehicle[J]. Mach Des Manuf, 2024(6): 193-197, 203. (in Chinese) | |
| [5] | 张风奇, 胡晓松, 许康辉, 等. 混合动力汽车模型预测能量管理研究现状与展望[J]. 机械工程学报, 2019, 55(10): 86-108. |
| ZHANG Fengqi; HU Xiaosong; XU Kanghui, et al. Current status and prospects for model predictive energy management in hybrid electric vehicles[J]. J Mech Engi, 2019, 55(10): 86-108. (in Chinese) | |
| [6] | 杜爱民, 陈垚伊, 张东旭. 功率分流式混合动力汽车能量管理策略研究[J]. 机械设计与制造, 2024(6) : 121-127. |
| DU Ai min, CHEN Yao yi, ZHANG Dong xu. Research on energy management strategy of power split hybrid electric vehicle[J]. Mach Des Manuf, 2024(6): 121-127. (in Chinese) | |
| [7] | 罗勇, 李豪, 翁勇永, 等. 基于工况识别的P2.5构型PHEV能量管理策略[J]. 重庆理工大学学报(自然科学), 2024, 38(8): 74-83. |
| LUO Yong, LI Hao, WENG Yongyong, et al. Research on energy management strategy of PHEV with P2.5 configuration based on working condition identification[J]. J Chongqing Univ of Techn (Nat Sci), 2024, 38(8): 74-83. (in Chinese) | |
| [8] | 毛星宇, 蒙艳玫, 许恩永, 等. 基于DBO-MPC的混合动力汽车能量管理策略[J]. 车用发动机, 2024(3): 50-57. |
| MAO Xingyu, MENG Yanmei, XU Enyong, et al. Energy management strategy of hybrid electric vehicle based on DBO-MPC[J]. Vehi Engine, 2024(3): 50-57. (in Chinese) | |
| [9] | 施德华, 袁超, 汪少华, 等. 考虑驾驶风格的混合动力汽车强化学习能量管理策略[J]. 西安交通大学学报, 2024, 58(10): 51-62. |
| SHI Dehua, YUAN Chao, WANG Shaohua, et al. Reinforcement learning-based energy management strategy considering driving style for hybrid electric vehicle[J]. J Xi’an Jiaotong Univ, 2024, 58(10): 51-62. (in Chinese) | |
| [10] | 齐春阳, 宋传学, 宋世欣, 等. 基于逆强化学习的混合动力汽车能量管理策略研究[J]. 汽车工程, 2023, 45(10): 1954-1964, 1974. |
| QI Chunyang, SONG Chuanxue, SONG Shixin, et al. Research on energy management strategy for hybrid electric vehicles based on inverse reinforcement learning[J]. Automotive Engineering, 2023, 45(10): 1954-1964, 1974. (in Chinese) | |
| [11] | 赵爽, 罗勇, 孙强. 插电式混合动力汽车车速预测能量管理策略[J]. 重庆理工大学学报(自然科学), 2023, 37(9): 79-87. |
| ZHAO Shuang, LUO Yong, SUN Qiang. Energy management strategy for speed prediction of plug-in hybrid electric vehicles[J]. J Chongqing Univ of Techn (Nat Sci), 2023, 37(9): 79-87. (in Chinese) | |
| [12] | 杨杰, 高爱云, 范卫峰, 等. 道路坡度识别的混合动力客车模式切换控制策略[J]. 重庆理工大学学报(自然科学), 2023, 37(8): 30-37. |
| YANG Jie, GAO Aiyun, FAN Weifeng, et al. Mode switching control strategy of HEB based on identification of road gradient[J]. J Chongqing Univ of Techn (Nat Sci), 2023, 37(8): 30-37. (in Chinese) | |
| [13] | 魏丽青, 强永军. 基于车速预测的PHEV预测能量管理策略[J]. 车用发动机, 2024(2): 83-92. |
| WEI Liqing, QIANG Yongjun. PHEV predictive energy management strategy based on vehicle speed prediction[J]. Vehicle Engine, 2024(2): 83-92. (in Chinese) | |
| [14] | 高凯, 罗攀, 谢进, 等. 基于数据融合的混合动力汽车速度轮廓预测[J]. 机械工程学报, 2024, 60(6): 342-353. |
| GAO Kail, LUO Pan, XIE Jin, et al. Hybrid electric vehicle speed profile prediction based on data fusion[J]. J Mech Engineering, 2024, 60(6): 342-353. (in Chinese) | |
| [15] | 张哲, 丁海涛, 张袅娜, 等. 智能网联电动汽车经济性巡航速度规划[J]. 汽车工程, 2022, 44(4): 609-616, 637. |
| ZHANG Zhe, DING Haitao, ZHANG Niaona, et al. Economic cruising speed planning of intelligent network connected electric vehicle[J]. Automotive Engineering, 2022, 44(4): 609-616, 637. (in Chinese) | |
| [16] |
王跃飞, 王志, 孙睿, 等. 基于驾驶意图多步预测的智能网联HEV等效排放最小控制策略[J]. 机械工程学报, 2023, 59(18): 271-282.
doi: 10.3901/JME.2023.18.271 |
| WANG Yuefei, WANG Zhi, SUN Rui, et al. Equivalent emission minimization strategy of intelligent connected HEV based on multi-step prediction of driving intention[J]. J Mech Engi, 2023, 59(18): 271-282. (in Chinese) | |
| [17] | 唐小林, 郎陈佳, 郑林洋, 等. 智能网联混合动力汽车能量管理研究综述[J]. 重庆理工大学学报(自然科学), 2023, 37(9): 1-12. |
| TANG Xiaoin, LANG Chenjia, ZHENG Linyang, et al. Energy management research of intelligent connected hybrid electric vehicles: a review[J]. J Chongqing Univ of Tech: Nat Sci, 2023, 37(9): 1-12. (in Chinese) | |
| [18] | 王利花. 计及车-车通讯中断的网联插电式混合动力汽车预测能量管理研究[D]. 西安理工大学, 2022. |
| Wang Lihua. Research on predictive energy management for connected plug-in hybrid electric vehicles considering vehicle-to-vehicle communication Interruptions[D]. Xi’an University of Technology, 2022. (in Chinese) | |
| [19] | YIN Yanli, HUANG Xuejiang, ZHAN Sen, et al. Hierarchical energy management control based on different communication topologies for hybrid electric vehicle platoon[J]. J Cleaner Produ, 2023, 412: 1-22. |
| [20] | 李晓之. 混合动力车辆预见性能量管理策略研究[D]. 长春: 吉林大学, 2023. |
| LI Xiaozhi. Research on predictive energy management strategies for hybrid vehicles[D]. Changchun: Jilin University, 2023. (in Chinese) | |
| [21] | WEI Xiaodong, LENG Jianghao, SUN Chao, et al. Co-optimization method of speed planning and energy management for fuel cell vehicles through signalized intersections[J]. J Power Sources, 2022, 518: Paper No 23059. |
| [22] | 万冬, 韩翔, 黄旭亮.新能源汽车的电池热管理方法、 装置、设备及存储介质[P]: 中国, CN 2023 10793046.2. 2023-09-22. |
| WAN Dong, HAN Xiang, HUANG Xuliang. Battery Thermal Management Method, Apparatus, Equipment, and Storage Medium for New Energy Vehicles[P]: China, CN 2023 10793046.2. 2023-09-22. (in Chinese) | |
| [23] | LIU Xuewu, Vivek Srivastava, WANG Pan et al. Real-time multi-layer predictive energy management for a plug-in hybrid vehicle based on horizon and navigation data[R]. SAE Tech Paper, 2024-01-2773. |
| [24] |
陈鑫, 薛剑波. 基于预测控制的插电式混合动力汽车智能能量管理(英文)[J]. 汽车技术, 2018(10): 34-40.
doi: 10.19620/j.cnki.1000-3703.20181114 |
| CHEN Xin, XUE Jianbo. Intelligent energy management based on predictive control system of PHEV[J]. Autom Tech, 2018(10): 34-40. (in Chinese) | |
| [25] | 陈渠, 殷承良, 张建龙, 等. 基于实时路况信息的插电式混合动力汽车预测性能量管理算法研究[J]. 汽车技术, 2020(8): 22-27. |
| CHEN Qu, YIN Chengliang, ZHANG Jianlon, et al. Research on predictive energy management algorithm of PHEV based on real-Time traffic information[J]. Autom Tech, 2020(8): 22-27. (in Chinese) | |
| [26] | 郭建华, 姜宇, 朱亦文, 等. 一种电动汽车行驶工况构建与评价方法[P]: 中国, CN 2021 10488106.0. 2022-08-16. |
| GUO Jianhua, JIANG Yu, ZHU Yiwen, et al. A Method for Constructing and Evaluating Driving Conditions of Electric Vehicles[P]: China, CN 2021 10488106.0. 2022-08-16. (in Chinese) |
| [1] | 张富椿, 尹燕莉, 马永娟, 肖杭洋, 陈海鑫, 余凯. 网联混合动力汽车队列的生态驾驶与能量管理分层控制[J]. 汽车安全与节能学报, 2025, 16(1): 159-169. |
| [2] | 许敏, 张亦嘉. 中国混合动力汽车动力总成技术进展[J]. 汽车安全与节能学报, 2024, 15(3): 269-294. |
| [3] | 关权, 涂正凯. 锂电池与燃料电池混合观光车动力系统的优化设计[J]. 汽车安全与节能学报, 2024, 15(2): 199-207. |
| [4] | 尹燕莉, 王福振, 詹森, 黄学江, 张鑫新, 张富椿. 基于KL散度工况识别的混合动力汽车队列的分层控制[J]. 汽车安全与节能学报, 2024, 15(2): 242-252. |
| [5] | 罗闯, 许亮. 基于ISSA的燃料电池多电源模糊能量管理策略[J]. 汽车安全与节能学报, 2023, 14(4): 496-504. |
| [6] | 王银亭, 吴长水. 高级辅助驾驶系统主动安全性评价方法[J]. 汽车安全与节能学报, 2023, 14(1): 62-68. |
| [7] | 孙超, 刘波, 孙逢春. 新能源汽车节能规划与控制技术研究综述[J]. 汽车安全与节能学报, 2022, 13(4): 593-616. |
| [8] | 尹燕莉, 张鑫新, 潘小亮, 詹森, 黄学江, 王福振. 基于等效因子的Q学习燃料电池汽车能量管理策略[J]. 汽车安全与节能学报, 2022, 13(4): 785-795. |
| [9] | 周泉, 张策腾飞, 李雁飞, 帅斌, 徐宏明. 基于数字孪生和PSO算法的混动车辆能量管理策略鲁棒优化[J]. 汽车安全与节能学报, 2022, 13(3): 517-525. |
| [10] | 宋波, 孙凯, 车志钊, 陈锐, 刘怀宇, 任美林, 王天友. 能量管理策略对燃料电池客车热管理系统性能的影响[J]. 汽车安全与节能学报, 2022, 13(3): 526-534. |
| [11] | 李敏清, 冯坚, 韩志玉. 串联式和增程式混合动力轻型商用车的性能对比[J]. 汽车安全与节能学报, 2022, 13(3): 550-559. |
| [12] | 尹燕莉, 马永娟, 周亚伟, 王瑞鑫, 詹森, 马什鹏, 黄学江, 张鑫新. Markov 链与Q-Learning算法的超轻度混动汽车模型预测控制[J]. 汽车安全与节能学报, 2021, 12(4): 557-569. |
| [13] | 付雪青, 王宝森, 杨建军, 高海洋, 何邦全, 赵华, 郭文翠, 刘双喜. 基于双状态动态规划混动汽车坡道生态驾驶策略[J]. 汽车安全与节能学报, 2021, 12(3): 373-379. |
| [14] | 刘建辉, 姚方方, 张彦. 混合动力汽车参数的交叉—变异蜂群算法优化[J]. 汽车安全与节能学报, 2021, 12(2): 186-192. |
| [15] | 王煜安, 罗佳鑫, 王亚超, 王欣, 葛蕴珊, 蒋震. 不同能量管理策略的增程电动汽车排放的实际道路试验[J]. 汽车安全与节能学报, 2021, 12(2): 219-225. |
| 阅读次数 | ||||||
|
全文 |
|
|||||
|
摘要 |
|
|||||