欢迎访问《汽车安全与节能学报》,

汽车安全与节能学报 ›› 2024, Vol. 15 ›› Issue (3): 379-386.DOI: 10.3969/j.issn.1674-8484.2024.03.011

• 汽车节能与环保 • 上一篇    下一篇

PAN/UiO-66-NH2 / Nafion复合纳米纤维质子交换膜制备与性能

孙静怡1(), 韩丁波1, 葛婧1, 郭晗1, 张剑波2, 刘勇1,*()   

  1. 1.北京化工大学 材料科学与工程学院,北京100029,中国
    2.清华大学,绿色智能车辆与交通全国重点实验室(原汽车安全与节能国家重点实验室),北京 100083,中国
  • 收稿日期:2023-11-09 修回日期:2023-12-21 出版日期:2024-06-30 发布日期:2024-07-01
  • 通讯作者: *刘勇,教授。E-mail:yongliu@mail.buct.edu.cn
  • 作者简介:孙静怡(1998—),女(汉),山东,硕士研究生。E-mail:2021200317@buct.edu.cn
  • 基金资助:
    汽车安全与节能国家重点实验室开放基金资助项目(KFZ2204)

Preparation and performance of the PAN/UiO-66-NH2/Nafion composite nanofiber proton exchange membrane

SUN Jingyi1(), HAN Dingbo1, GE Jing1, GUO Han1, ZHANG Jianbo2, LIU Yong1,*()   

  1. 1. College of Materials Science and Engineering, Beijing University of Chemical Technology, Beijing 100029, China
    2. State Key Laboratory of Intelligent Green Vehicle and Mobility (Former: State Key Laboratory of Automotive Safety and Energy), Tsinghua University, Beijing 100084, China
  • Received:2023-11-09 Revised:2023-12-21 Online:2024-06-30 Published:2024-07-01

摘要:

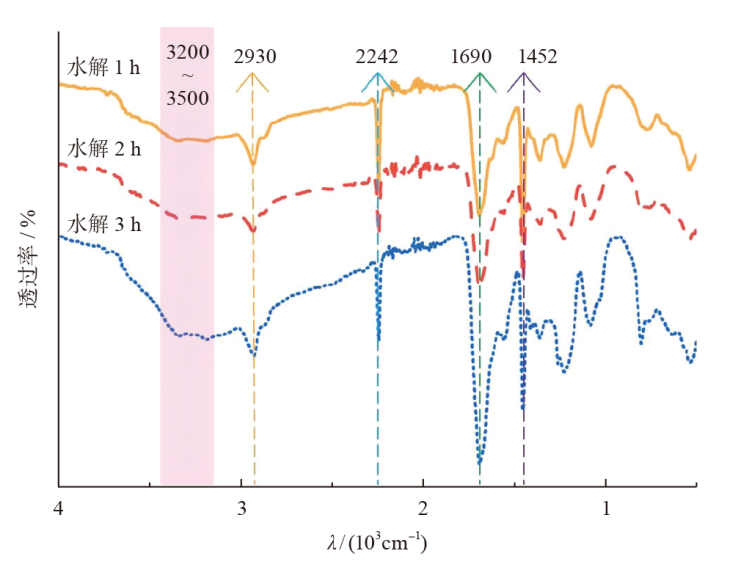
氢燃料电池中质子交换膜的质子传导率在低湿度下会急剧降低,且膜在高湿度下还会过度溶胀,成为限制燃料电池应用的因素之一。为平衡二者之间的关系,提高膜的尺寸稳定性,该研究将聚丙烯腈(PAN)纤维和金属-有机框架(MOF)UiO-66-NH2结合,并探究水解时间、反应温度对UiO-66-NH2在PAN纤维上原位生长的影响,制备了MOF功能化的纳米纤维质子交换膜。结果表明:该复合膜质子传导率比PAN/Nafion可最高提升175.36%,60 ℃时其溶胀率与Nafion相比降低了179.10%,能有效提高尺寸稳定性和机械强度,具有良好的发展前景。

关键词: 燃料电池, 金属-有机框架(MOF), 水解, 原位生长, 静电纺丝, 纳米纤维质子交换膜

Abstract:

The proton conductivity of the proton exchange membrane in fuel cells sharply decreases under low humidity conditions, and the membrane also excessively swells under high humidity conditions, which becomes one of the limiting factors for the application of fuel cells. The polyacrylonitrile (PAN) nanofibers with the metal-organic framework (MOF) UiO-66-NH2 was combined to balance the relationship between the two and improve the dimensional stability of the membrane. And the effects of hydrolysis time and reaction temperature on the in-situ growth of UiO-66-NH2 on PAN nanofibers were investigated, followed by the preparation of functionalized nanofiber proton exchange membranes with MOF. The results show that the proton conductivity of the composite membrane has a maximum improvement of 175.36% compared to PAN/Nafion; at 60 °C, the swelling rate of the composite membrane is reduced by 179.10% compared to Nafion, which can effectively improve dimensional stability and mechanical strength, and has good development prospects.

Key words: fuel cell, metal-organic framework(MOF), hydrolysis, in-situ growth, electrospinning, nanofiber proton exchange membrane

中图分类号: