汽车安全与节能学报 ›› 2024, Vol. 15 ›› Issue (3): 309-320.DOI: 10.3969/j.issn.1674-8484.2024.03.003
收稿日期:2023-02-23
修回日期:2024-03-15
出版日期:2024-06-30
发布日期:2024-07-01
通讯作者:
*刘丛志,副教授。E-mail:作者简介:陈绮桐(1996—),女(满),辽宁,博士研究生。E-mail:cqt18801271243@bjfu.edu.cn。
基金资助:
CHEN Qitong1(
), ZHAO Dong1, LIU Congzhi2,*(
), LI Liang3
Received:2023-02-23
Revised:2024-03-15
Online:2024-06-30
Published:2024-07-01
摘要:
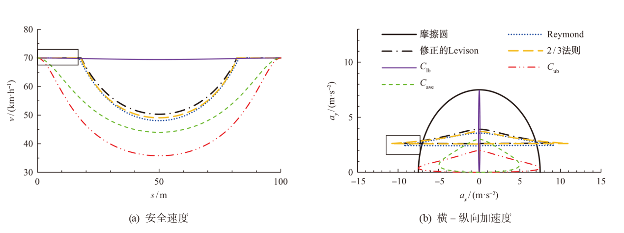
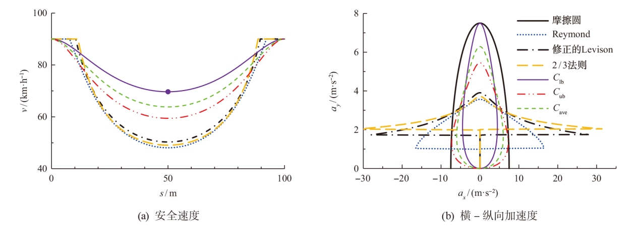
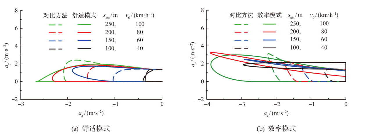
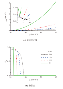
为提高自动驾驶汽车的安全性、舒适性与通行效率,提出了一种考虑到滑行及安全速度的类人入弯速度规划策略。该策略基于混沌优化理论与实车弯道行驶速度数据,通过将车辆的入弯速度规划问题构建为多目标优化问题,建立了舒适模式与效率模式。通过定义奇点速度,简化了非线性高阶约束条件。结果表明:在该策略规划中,在不同弯道场景下,横向加速度和纵向加速度均在摩擦圆约束内,可保证车辆的行驶安全。相比于未考虑滑行的方法,在舒适模式下,该策略产生的纵向加速度减小9.76%,通行效率提高61.73%;在效率模式中,纵向加速度为加速度阈值,满足加速度约束,通行效率提高88%。因而,无论舒适模式还是效率模式,该方法均可兼顾舒适性和通行效率。
中图分类号:
陈绮桐, 赵东, 刘丛志, 李亮. 考虑经验驾驶行为的入弯实时类人速度规划方法[J]. 汽车安全与节能学报, 2024, 15(3): 309-320.
CHEN Qitong, ZHAO Dong, LIU Congzhi, LI Liang. Real-time human-like speed planning method for curve entry considering experienced driving behaviors[J]. Journal of Automotive Safety and Energy, 2024, 15(3): 309-320.
| 工况编号 | scst / m | alim / (m·s-2) | jlim / (m·s-3) |
|---|---|---|---|
| 1 | 100 | -3.0 | -2.0 |
| 2 | 150 | -4.0 | -1.5 |
| 3 | 150 | -3.0 | -2.0 |
| 4 | 200 | -3.0 | -2.0 |
| 5 | 150 | -4.0 | — |
| 6 | 200 | -4.0 | — |
| 7 | 250 | -4.0 | — |
| 8 | 250 | -3.0 | -2.0 |
| 工况编号 | scst / m | alim / (m·s-2) | jlim / (m·s-3) |
|---|---|---|---|
| 1 | 100 | -3.0 | -2.0 |
| 2 | 150 | -4.0 | -1.5 |
| 3 | 150 | -3.0 | -2.0 |
| 4 | 200 | -3.0 | -2.0 |
| 5 | 150 | -4.0 | — |
| 6 | 200 | -4.0 | — |
| 7 | 250 | -4.0 | — |
| 8 | 250 | -3.0 | -2.0 |
| scst / m | v0 / (km·h-1) | 舒适模式,ΔA / (m·s-2) | 效率模式,ΔA / (m·s-2) | ηT / % | |||||||
|---|---|---|---|---|---|---|---|---|---|---|---|
| max | RMS | var | max | RMS | var | 舒适模式 | 效率模式 | ||||
| 100 | 36 | -0.03 | -0.10 | -0.05 | -1.99 | -1.80 | -0.06 | 23.46 | 88.02 | ||
| 40 | -0.03 | 0.02 | -0.02 | -2.07 | -1.90 | -0.90 | 2.33 | 82.85 | |||
| 50 | -0.60 | -0.56 | -0.11 | -2.01 | -1.68 | -0.29 | 44.24 | 67.51 | |||
| 60 | -0.11 | -0.17 | -0.01 | -1.26 | -0.95 | -0.39 | 18.73 | 45.19 | |||
| 150 | 36 | -0.06 | -0.32 | -0.03 | -1.91 | -1.58 | -0.16 | 48.99 | 88.02 | ||
| 40 | -0.05 | -0.06 | -0.05 | -1.96 | -1.71 | -0.05 | 16.17 | 82.85 | |||
| 50 | -0.06 | 0.20 | 0.00 | -2.03 | -1.88 | -0.12 | 3.24 | 72.21 | |||
| 60 | -0.87 | -0.70 | -0.19 | -1.78 | -1.57 | -0.23 | 45.83 | 61.69 | |||
| 200 | 36 | -0.09 | -0.51 | 0.11 | -1.84 | -1.39 | -0.28 | 61.73 | 88.02 | ||
| 40 | -0.09 | -0.22 | -0.07 | -1.83 | -1.51 | -0.21 | 37.12 | 82.85 | |||
| 50 | -0.09 | 0.33 | -0.03 | -1.93 | -1.79 | -0.10 | 4.14 | 71.21 | |||
| 60 | -0.04 | 0.09 | 0.01 | -1.91 | -1.80 | -0.12 | 4.26 | 63.36 | |||
| scst / m | v0 / (km·h-1) | 舒适模式,ΔA / (m·s-2) | 效率模式,ΔA / (m·s-2) | ηT / % | |||||||
|---|---|---|---|---|---|---|---|---|---|---|---|
| max | RMS | var | max | RMS | var | 舒适模式 | 效率模式 | ||||
| 100 | 36 | -0.03 | -0.10 | -0.05 | -1.99 | -1.80 | -0.06 | 23.46 | 88.02 | ||
| 40 | -0.03 | 0.02 | -0.02 | -2.07 | -1.90 | -0.90 | 2.33 | 82.85 | |||
| 50 | -0.60 | -0.56 | -0.11 | -2.01 | -1.68 | -0.29 | 44.24 | 67.51 | |||
| 60 | -0.11 | -0.17 | -0.01 | -1.26 | -0.95 | -0.39 | 18.73 | 45.19 | |||
| 150 | 36 | -0.06 | -0.32 | -0.03 | -1.91 | -1.58 | -0.16 | 48.99 | 88.02 | ||
| 40 | -0.05 | -0.06 | -0.05 | -1.96 | -1.71 | -0.05 | 16.17 | 82.85 | |||
| 50 | -0.06 | 0.20 | 0.00 | -2.03 | -1.88 | -0.12 | 3.24 | 72.21 | |||
| 60 | -0.87 | -0.70 | -0.19 | -1.78 | -1.57 | -0.23 | 45.83 | 61.69 | |||
| 200 | 36 | -0.09 | -0.51 | 0.11 | -1.84 | -1.39 | -0.28 | 61.73 | 88.02 | ||
| 40 | -0.09 | -0.22 | -0.07 | -1.83 | -1.51 | -0.21 | 37.12 | 82.85 | |||
| 50 | -0.09 | 0.33 | -0.03 | -1.93 | -1.79 | -0.10 | 4.14 | 71.21 | |||
| 60 | -0.04 | 0.09 | 0.01 | -1.91 | -1.80 | -0.12 | 4.26 | 63.36 | |||
| scst / m | 规划模式 | s1opt / m | t / ms | 求解效率 提升率 / % | |||
|---|---|---|---|---|---|---|---|
| COA | TRA | COA | TRA | ||||
| 100 | 舒适模式 | 83.3 | 83.3 | 51.5 | 67.4 | 23.59 | |
| 效率模式 | 54.9 | 54.9 | 59.5 | 75.5 | 21.19 | ||
| 150 | 舒适模式 | 83.3 | 83.3 | 59.8 | 76.3 | 21.62 | |
| 效率模式 | 54.9 | 54.9 | 60.1 | 77.2 | 22.15 | ||
| scst / m | 规划模式 | s1opt / m | t / ms | 求解效率 提升率 / % | |||
|---|---|---|---|---|---|---|---|
| COA | TRA | COA | TRA | ||||
| 100 | 舒适模式 | 83.3 | 83.3 | 51.5 | 67.4 | 23.59 | |
| 效率模式 | 54.9 | 54.9 | 59.5 | 75.5 | 21.19 | ||
| 150 | 舒适模式 | 83.3 | 83.3 | 59.8 | 76.3 | 21.62 | |
| 效率模式 | 54.9 | 54.9 | 60.1 | 77.2 | 22.15 | ||
| [1] | 李国法, 陈耀昱, 吕辰, 等. 智能汽车决策中的驾驶行为语义解析关键技术[J]. 汽车安全与节能学报. 2019, 10(4): 391-412. |
| LI Guofa, CHEN Yaoyu, LÜ Chen, et al. Key techniques of semantic analysis of driving behavior in decision making of autonomous vehicles[J]. J Auto Safe Energy, 2019, 10(4): 391-412. (in Chinese) | |
| [2] | 采国顺, 刘昊吉, 冯吉伟, 等. 智能汽车的运动规划与控制研究综述[J]. 汽车安全与节能学报, 2021, 12(03): 279-297. |
| CAI Guoshun, LIU Haoji, FENG Jiwei, et al. Review on the research of motion planning and control for intelligent vehicles[J]. J Auto Safe Energy, 2021, 12(03): 279-297. (in Chinese) | |
| [3] | WANG Miao, LIU Qingshan, ZHENG Yanling. A curvature-segmentation-based minimum time algorithm for autonomous vehicle velocity planning[J]. Info Sci, 2021, 565: 248-261. |
| [4] | 王建强, 俞倩雯, 李升波, 等. 基于道路坡度实时信息的经济车速优化方法[J]. 汽车安全与节能学报. 2014, 5(3): 279-297. |
| WANG Jianqiang, YU Qianwen, LI Shengbo, et al. Eco speed optimization based on real-time information of road gradient[J]. J Auto Safe Energy, 2014, 5(3): 279-297. (in Chinese) | |
| [5] | Diels C, Bos J E, Hottelart K, et al. Motion sickness in automated vehicles: the elephant in the room[M]. Road Vehicle Automation 3. Springer, Cham, 2016: 121-129. |
| [6] | Werling M, Kammel S, Ziegler J, et al. Optimal trajectories for time-critical street scenarios using discretized terminal manifolds[J]. Int’l J Robot Res, 2012, 31(3): 346-359. |
| [7] | 张平, 陈一凡, 江书真, 等. 高速公路上自动超车过程的轨迹规划与跟踪控制[J]. 汽车安全与节能学报, 2022, 13(3): 463-472. |
| ZHANG P, CHEN Y, JIANG S, et al. Trajectory planning and tracking control of automatic overtaking process on highway[J]. J Auto Safety Energy, 2022, 13(3): 463-472. (in Chinese) | |
| [8] | Bosetti P, Lio M D, Saroldi A. On curve negotiation: from driver support to automation[J], IEEE Trans Intell Transp Syst, 2015, 16(4): 2082-2093. |
| [9] | 兰凤崇, 李诗成, 陈吉清, 等. 考虑操纵稳定性的自动驾驶汽车轨迹综合优化方法[J]. 湖南大学学报(自然科学版), 2019, 46(10): 36-45. |
| LAN Fengcong, LI Shicheng, CHEN Jiqing, et al. Comprehensive approach for trajectory optimization of autopilot vehicles considering handling stability[J]. J Hunan Univ (Nat Sci), 2019, 46(10): 36-45. (in Chinese) | |
| [10] | Rajamani R. Vehicle Dynamics and Control[M]. New York: Springer Science,2012:381-382. |
| [11] |
Ritchie M L, McCoy W K, Welde W L. A study of the relation between forward velocity and lateral acceleration in curves during normal driving[J]. Human Factors, 1968, 10(3): 255-258.
pmid: 5674361 |
| [12] |
Reymond G, Kemeny A, Droulez J. Role of lateral acceleration in curve driving: driver model and experiments on a real vehicle and a driving simulator[J]. Human Factors, 2001, 43(3): 483-495.
pmid: 11866202 |
| [13] | Levison W H, Campbell J L, Kludt K. Development of a driver vehicle module for the interactive highway safety design model[R]. US: Fede Highway Admi, FHWA-HRT-08-019, 2007. |
| [14] | Flash T, Meirovitch Y, Barliya A. Models of human movement: Trajectory planning and inverse kinematics studies[J]. Robo Auton Syst, 2013, 61(4): 330-339. |
| [15] | ZHANG Yu, CHEN Huiyan, Waslander S L, et al. Speed planning for autonomous driving via convex optimization[C]// Int’l Conf Intell Transp Syst (ITSC), 2018-11-04—01: 1089-1094. |
| [16] | Consolini L, Locatelli M, Minari A, et al. Optimal time-complexity speed planning for Robot manipulators[J]. IEEE Trans Robo, 2019, 35(3): 790-797. |
| [17] | YAN Shengyu, LIU Chenglong, CAO Jing. Comfort-based trajectory and velocity planning for automated vehicles considering road conditions[J]. Int’l J Autom Tech, 2021, 22(5): 883-893. |
| [18] | Etsuo K, Makoto Y, Masato A. A state-of-the-art review: toward a novel vehicle dynamics control concept taking the driveline of electric vehicles into account as promising control actuators[J]. Vehi Syst Dyn, 2021, 59(7): 976-1025. |
| [19] | Claussmann L, Revilloud M, Gruyer D, et al. A review of motion planning for highway autonomous driving[J]. IEEE Trans Intell Transp Syst, 2019, 21(5): 1826-1848. |
| [20] | HE Xiangkun, LIU Yulong, LÜ Chen, et al. Emergency steering control of autonomous vehicle for collision avoidance and stabilization[J]. Vehi Syst Dyn, 2018, 57(8): 1163-1187. |
| [21] | YANG Dixion, LI Gang, CHENG Gengdong. On the efficiency of chaos optimization algorithms for global optimization[J]. Chaos, Solitons Fractals, 2007, 34(4): 1366-1375. |
| [1] | 李龙辉, 张甫仁, 黄郅凯, 李雪, 赵浩东, 史亚洲, 孙世政, 赵海波. 水轮型翅片组耦合均温板的多目标及拓扑优化[J]. 汽车安全与节能学报, 2024, 15(2): 208-217. |
| [2] | 刘延伟, 黄志明, 高博麟, 钟薇, 陈嘉星, 刘家熙. 车载视角下基于视觉信息的前车行为识别[J]. 汽车安全与节能学报, 2023, 14(6): 707-714. |
| [3] | 黄新朝, 张毅. 基于百度地图API的纯电动汽车未来行驶能耗预测[J]. 汽车安全与节能学报, 2023, 14(6): 715-722. |
| [4] | 李雪, 张甫仁, 路兴隆, 黄郅凯, 赵浩东, 史亚洲. 锂离子动力电池蛇形通道液体冷却板的性能优化[J]. 汽车安全与节能学报, 2023, 14(3): 385-392. |
| [5] | 杨金松, 赵德宗, 江菁晶, 蓝江林, 李亮. 异构智能网联车辆编队的双阶段节能驾驶控制策略(英文)[J]. 汽车安全与节能学报, 2022, 13(4): 676-685. |
| [6] | 李文礼, 邱凡珂, 廖达明, 任勇鹏, 易帆. 基于深度强化学习的高速公路换道跟踪控制模型[J]. 汽车安全与节能学报, 2022, 13(4): 750-759. |
| [7] | 罗耿, 赵剑南, 陈亮, 柴成鹏, 王童, 陈轶嵩. 新型波纹结构吸能盒耐撞性研究[J]. 汽车安全与节能学报, 2022, 13(3): 453-462. |
| [8] | 张平, 陈一凡, 江书真, 韩毅. 高速公路上自动超车过程的轨迹规划与跟踪控制[J]. 汽车安全与节能学报, 2022, 13(3): 463-472. |
| [9] | 武一民, 郑凯元, 高博麟, 陈明, 王义锋. 基于自适应扩展Kalman滤波的路侧多传感器融合[J]. 汽车安全与节能学报, 2021, 12(4): 522-527. |
| [10] | 李磊, 李军, 张世义. 搭载改进滑模控制的自动驾驶汽车轨迹跟踪控制[J]. 汽车安全与节能学报, 2020, 11(4): 503-510. |
| [11] | 韩大双, 马志雄, 朱西产, 曾宇凡. 用于自动驾驶汽车的汽车—骑车人事故场景分析 [J]. 汽车安全与节能学报, 2020, 11(2): 220-226. |
| [12] | 亓昌,韩元吉,杨 姝,吕振华. 考虑气动阻力和横风稳定的汽车车身多目标优化设计[J]. JASE, 2020, 11(1): 53-60. |
| [13] | 谢辉,高斌,熊硕,王悦. 结构化道路中动态车辆的轨迹预测[J]. JASE, 2019, 10(4): 413-422. |
| [14] | 马云海,陈创发,端木令坚,危银涛. 碳纤维 / 碳纳米管复合胎面胶的拉伸及耐磨性能[J]. JASE, 2019, 10(4): 443-450. |
| [15] | 李学鋆. 基于UTMD 的汽车自动驾驶的路径规划寻优算法[J]. JASE, 2018, 9(4): 449-455. |
| 阅读次数 | ||||||
|
全文 |
|
|||||
|
摘要 |
|
|||||