欢迎访问《汽车安全与节能学报》,

汽车安全与节能学报 ›› 2022, Vol. 13 ›› Issue (3): 463-472.DOI: 10.3969/j.issn.1674-8484.2022.03.007

• 智能驾驶与智慧交通 • 上一篇    下一篇

高速公路上自动超车过程的轨迹规划与跟踪控制

张平(), 陈一凡, 江书真, 韩毅   

  1. 长安大学 汽车学院,西安 710064,中国
  • 收稿日期:2021-10-09 修回日期:2022-05-05 出版日期:2022-09-30 发布日期:2022-10-04
  • 作者简介:张平(1977—),男(汉),安徽,副教授。E-mail: zhangping10@chd.edu.cn
  • 基金资助:
    国家自然科学基金联合基金(U1864204)

Trajectory planning and tracking control of automatic overtaking process on highway

ZHANG Ping(), CHEN Yifan, JIANG Shuzhen, HAN Yi   

  1. School of Automobile, Chang’an University, Xi’an 710064, China
  • Received:2021-10-09 Revised:2022-05-05 Online:2022-09-30 Published:2022-10-04

摘要:

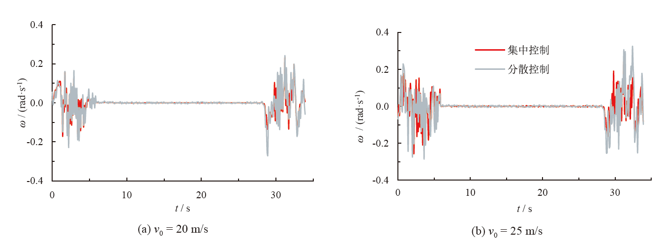
研究了自动驾驶汽车在高速公路上超车过程中的轨迹规划和跟踪控制。基于纵向位移与时间(s-t)图,对超车过程进行建模和数字仿真分析,并应用多项式来规划车辆横纵向运动。采用集中式模型预测控制器,综合控制车辆横纵向的运动,以实现超车过程的轨迹跟踪。结果表明:相较于分散式控制方法,利用集中式控制方法下的车辆侧向加速度的整体波动减小19.0%,横摆角速度的整体波动减小11.6%。因而,集中式控制方法下的横向运动偏差更小,纵向加速过程更加平滑、稳定,符合高速公路超车过程安全平稳性的要求。

关键词: 汽车安全, 自动驾驶汽车, 超车模型, 轨迹规划, 跟踪控制

Abstract:

The trajectory planning and tracking control were investigated in the overtaking process for the autonomous driving vehicles on highway. The overtaking process was modeled and analyzed by digital simulation through longitudinal displacement-time graph (s-t graph). The algorithm planned the vehicle’s longitudinal and lateral motion with polynomials. The centralized model predictive controller controlled the vehicle’s longitudinal and lateral motion to realize the trajectory tracking of the overtaking process. The results show that compared to the decentralized control method, the centralized control method decreases the vehicle lateral acceleration fluctuation by 19.0%, and decreases the vehicle yaw rate fluctuation by 11.6%. Therefore, the centralized control method has smaller deviations in the lateral motion with smoother and more stable longitudinal accelerations. Thus, it meets the basic safety and stability requirements at highway overtaking.

Key words: car safety, autonomous driving vehicles, overtaking model, trajectory planning, tracking control

中图分类号: