汽车安全与节能学报 ›› 2024, Vol. 15 ›› Issue (1): 54-62.DOI: 10.3969/j.issn.1674-8484.2024.01.006
宋泽华1(
), 陈浩1,*(
), 郭航1, 叶芳1, 张惟博2
收稿日期:2023-05-15
修回日期:2024-01-11
出版日期:2024-02-29
发布日期:2024-02-29
通讯作者:
*陈浩,助理研究员。E-mail:chenh@bjut.edu.cn。
作者简介:宋泽华(1997—),男(汉),河北,硕士研究生。E-mail:songzh@emails.bjut.edu.cn。
基金资助:
SONG Zehua1(
), CHEN Hao1,*(
), GUO Hang1, YE Fang1, ZHANG Weibo2
Received:2023-05-15
Revised:2024-01-11
Online:2024-02-29
Published:2024-02-29
摘要:
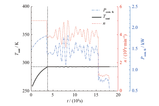
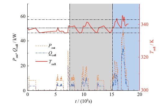
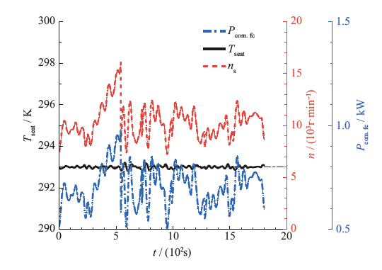
为了辅助燃料电池车辆预热,提升燃料电池在低温下的冷启动速率以及降低电动车能耗,该文提出了一种基于热泵和蓄热装置联合的燃料电池电动车供暖方案,并开展了燃料电池车辆系统动态仿真研究,对比了有无蓄热装置辅助的系统对车辆运行过程的影响。结果表明: 在寒冷运行环境下,蓄热装置可确保驾驶循环工况下循环冷却液热量来源的连续性, 相较于无蓄热装置的热管理系统,热泵和蓄热联合供暖方案可使空调系统能耗下降26%;利用蓄热装置辅助的供暖系统能够改善燃料电池电动车的冬季冷启动特性,优化车辆电池系统的热管理。
中图分类号:
宋泽华, 陈浩, 郭航, 叶芳, 张惟博. 基于蓄热装置辅助的燃料电池电动车供暖系统动态仿真[J]. 汽车安全与节能学报, 2024, 15(1): 54-62.
SONG Zehua, CHEN Hao, GUO Hang, YE Fang, ZHANG Weibo. Dynamic simulation of heating system in fuel cell vehicles based on thermal storage device assistance[J]. Journal of Automotive Safety and Energy, 2024, 15(1): 54-62.
| [1] | 侯绪凯, 赵甜甜, 孙荣峰, 等. 中国氢燃料电池技术发展及应用现状研究[J]. 当代化工研究, 2022(17): 112-117. |
| HOU Xukai, ZHAO Tiantian, SUN Rongfeng, et al. Research on the development and application status of hydrogen fuel cell technology in China[J]. Mode Chem Res, 2022(17): 112-117. (in Chinese) | |
| [2] | 殷卓成, 王贺, 段文益, 等. 氢燃料电池汽车关键技术研究现状与前景分析[J]. 现代化工, 2022, 42(10): 18-23. |
| YIN Zhuocheng, WANG He, DUAN Wenyi, et al. Research status and prospect of key technologies for hydrogen fuel cell vehicle[J]. Mode Chem Ind, 2022, 42(10): 18-23. (in Chinese) | |
| [3] | Haseli Y. Maximum conversion efficiency of hydrogen fuel cells[J]. Int’l J Hydr Energ. 2018, 43(18): 9015-9021. |
| [4] | 苑掌义. 燃料电池汽车技术发展研究[M]. 北京: 北京理工大学出版社, 2015: 9-10. |
| YUAN Zhangyi. Research on Technology Development of Fuel Cell Vehicle[M]. Beijing: Beijing Institute of Technology Press, 2015: 9-10. (in Chinese) | |
| [5] | 郭航, 马重芳, 肖劲松, 等. 汽车用质子交换膜燃料电池性能实验研究[J]. 中国公路学报, 2001(4): 104-106. |
| GUO Hang, MA Chongfang, XIAO Jinsong, et al. Experimental investigation of performance of proton exchange membrane fuel cells for vehicles[J]. China J High Transport, 2001(4): 104-106. (in Chinese) | |
| [6] | 钱伟, 范兆虎, 李微微, 等. 车载质子交换膜燃料电池低温环境的热源分析[J]. 高校化学工程学报, 2022, 36(6): 801-806. |
| QIAN Wei, FAN Zhaohu, LI Weiwei, et al. Heat source analysis of vehicle proton exchange membrane fuel cells in low temperature environment[J]. J Chem Engi Chin Univ, 2022, 36(6): 801-806. (in Chinese) | |
| [7] |
汪琳琳, 焦鹏飞, 王伟, 等. 新能源电动汽车低温热泵型空调系统研究[J]. 汽车工程, 2020, 42(12): 1744-1750.
doi: 10.19562/j.chinasae.qcgc.2020.12.018 |
| WANG Linlin, JIAO Pengfei, WANG Wei, et al. Research on low temperature heat pump air conditioning system in new energy electric vehicle[J]. Autom Engineering, 2020, 42(12): 1744-1750. (in Chinese) | |
| [8] | 武卫东, 吴佳玮, 余强元. 电动汽车热泵型空调除霜实验研究[J]. 汽车工程, 2018, 40(3): 369-374. |
| WU Weidong, WU Jiawei, YU Qiangyuan. An experimental study on defrosting of heat pump air conditioner in battery electric vehicles[J]. Autom Engineering, 2018, 40(3): 369-374. (in Chinese) | |
| [9] | 蔡俊卿. 水源热泵技术在燃料电池热管理系统中的应用分析[J]. 上海汽车, 2019(3): 3-6. |
| CAI Junqing. Application analysis of water source heat pump technology in fuel cell thermal management system[J]. Shanghai Autom, 2019(3): 3-6. (in Chinese) | |
| [10] | SUN Wei, YI Fengyan, HU Donghai, et al. Research on matching design method of waste heat reuse system of fuel cell vehicle considering system energy consumption and waste heat exchange rate[J]. Int’l J Energ Res, 2021, 45(4): 5470-5485. |
| [11] | Schmitt M, Nasri M. Thermal management concept for next generation vehicles[C]// 2015 10th Int’l Conf Ecolog Vehi Renew Energ, Monaco, 2015. |
| [12] | Kim S C, Kim M S, Hwang I C, et al. Performance evaluation of a CO2 heat pump system for fuel cell vehicles considering the heat exchanger arrangements[J]. Int’l J Refrig, 2007, 30(7): 1195-1206. |
| [13] | 丰收. 燃料电池汽车集成热管理系统研究[D]. 北京: 北京工业大学, 2020. |
| FENG Shou. Study on the integrated thermal management system of fuel cell vehicles[D]. Beijing: Beijing University of Technology, 2020. (in Chinese) | |
| [14] |
Lee H, Won J, Cho C, et al. Heating performance characteristics of stack coolant source heat pump using R744 for fuel cell electric vehicles[J]. J Mech Sci Tech, 2012, 26(7): 2065-2071.
doi: 10.1007/s12206-012-0516-2 URL |
| [15] | Kim S C, Kim M S, Hwang I C, et al. Heating performance enhancement of a CO2 heat pump system recovering stack exhaust thermal energy in fuel cell vehicles[J]. Int’l J Refrig, 2007, 30(7): 1215-1226. |
| [16] | 王戎, 王铁, 赵震, 等. 基于热泵空调的燃料电池汽车整车热管理开发设计[J]. 重庆理工大学学报(自然科学), 2021, 35(1): 58-66. |
| WANG Rong, WANG Tie, ZHAO Zhen, et al. Development and design of fuel cell vehicle thermal management based on heat pump air conditioning[J]. J Chongqing Univ Tech (Nat Sci), 2021, 35(1): 58-66. (in Chinese) | |
| [17] | Nasri M, Burger I, Michael S, et al. Waste heat recovery for fuel cell electric vehicle with thermochemical energy storage[C]// 2016 11th Int’l Conf Ecolog Vehi Renew Energ, Monaco, 2016. |
| [18] | 张文春, 纪峻岭, 冯樱. 汽车理论[M]. 北京: 机械工业出版社, 2005:31-33. |
| ZHANG Wenchun, JI Junling, FENG Ying. Automobile Theory[M]. Beijing: China Machine Press, 2005: 31-33. (in Chinese) | |
| [19] | XU Jiaming, ZHANG Caizhi, FAN Ruijia, et al. Modelling and control of vehicle integrated thermal management system of PEM fuel cell vehicle[J]. Energy, 2020, 199: No 117495. |
| [20] | ZHANG Li, WANG Ning. An adaptive RNA genetic algorithm for modeling of proton exchange membrane fuel cells[J]. Int’l J Hydro Energ, 2013, 38(1): 219-228. |
| [21] | 黄挺. 空气源热泵除霜用相变蓄能换热器的模拟研究[D]. 哈尔滨: 哈尔滨工业大学, 2007. |
| HUANG Ting. Simulation of thermal energy storage heat exchanger used for defrosting in air source heat pump[D]. Harbin:Harbin Institute of Technology, 2007. (in Chinese) | |
| [22] | 胡文举. 空气源热泵相变蓄能除霜系统动态特性研究[D]. 哈尔滨: 哈尔滨工业大学, 2010. |
| HU Wenju. Study on the dynamic characteristic of a novel PCM based defrosting for air source heat pump[D]. Harbin:Harbin Institute of Technology, 2010. (in Chinese) | |
| [23] | Kibria M A, Anisur M R, Mahfuz M H, et al. Numerical and experimental investigation of heat transfer in a shell and tube thermal energy storage system[J]. Int’l Commun Heat Mass Trans, 2014, 53: 71-78. |
| [24] | Li Wenhua. Simplified steady-state modeling for hermetic compressors with focus on extrapolation[J]. Int’l J Refrig, 2012, 35(6): 1722-1733. |
| [25] | 张可欣. 电动汽车热泵空调系统性能分析平台设计[D]. 长春: 吉林大学, 2020. |
| ZHANG Kexin. Design of performance analysis platform for electric vehicle heat pump air conditioning system[D]. Changchun: Jilin University, 2020. (in Chinese) | |
| [26] | 周英杰. 电动汽车冬季负荷及制热调节特性研究[D]. 合肥: 合肥工业大学, 2020. |
| ZHOU Yingjie. Study on winter load and heating regulation characteristics of electric vehicle[D]. Hefei: Hefei University of Technology, 2020. (in Chinese) | |
| [27] | 马进, 回振桥, 王松, 等. 阳光照射下汽车内部件温度的数学模型[J]. 现代电子技术, 2017, 40(14): 5-9. |
| MA Jin, HUI Zhenqiao, WANG Song, et al. Mathematical model for temperature of parts inside automobile under sunlight[J]. Mode Elect Tech, 2017, 40(14): 5-9. (in Chinese) | |
| [28] | 张聪哲. 基于热泵空调和蓄热的纯电动汽车整车热管理系统模拟[D]. 北京: 北京工业大学, 2018. |
| ZHANG Congzhe. Simulation of thermal management system for a pure electric vehicle with heat pump air condition and heat storage[D]. Beijing: Beijing University of Technology, 2018. (in Chinese) | |
| [29] | 国家市场监督管理总局, 中国国家标准化管理委员会. GB/T 38146.1-2019: 中国汽车行驶工况,第 1 部分: 轻型汽车[D]. 北京: 中国标准出版社, 2019. |
| State Administration for Market Regulation, Standardization Administration. GB/T 38146.1-2019: China automotive test cycle, Part 1: Light-duty vehicles[D]. Beijing: Standards Press of China, 2019. (in Chinese) |
| [1] | 黄新朝, 张毅. 基于百度地图API的纯电动汽车未来行驶能耗预测[J]. 汽车安全与节能学报, 2023, 14(6): 715-722. |
| [2] | 王明华, 王雯, 陈泽宇, 刘建喆, 欧训民, 任磊. 中国氢燃料电池重型卡车的总拥有成本分析[J]. 汽车安全与节能学报, 2023, 14(6): 762-773. |
| [3] | 罗闯, 许亮. 基于ISSA的燃料电池多电源模糊能量管理策略[J]. 汽车安全与节能学报, 2023, 14(4): 496-504. |
| [4] | 陈之立. 氩气闭循环氢气发动机的研发动向与展望[J]. 汽车安全与节能学报, 2023, 14(1): 1-16. |
| [5] | 刘永峰, 张璐, 裴普成, 刘鑫桐, 禹永帅. 相对湿度对PEMFC加载过程中动态响应的影响分析[J]. 汽车安全与节能学报, 2023, 14(1): 89-97. |
| [6] | 史启通, 冯聪, 李冰, 张存满, 明平文. 气体扩散层变形模量与脊槽转角半径优化设计[J]. 汽车安全与节能学报, 2023, 14(1): 98-105. |
| [7] | 王瀚, 宋盼盼, 魏名山, 鲁振博, 李建威, 诸葛伟林, 张扬军. 阵列涡齿氢气循环泵的设计与性能分析[J]. 汽车安全与节能学报, 2022, 13(4): 760-769. |
| [8] | 尹燕莉, 张鑫新, 潘小亮, 詹森, 黄学江, 王福振. 基于等效因子的Q学习燃料电池汽车能量管理策略[J]. 汽车安全与节能学报, 2022, 13(4): 785-795. |
| [9] | 宋波, 孙凯, 车志钊, 陈锐, 刘怀宇, 任美林, 王天友. 能量管理策略对燃料电池客车热管理系统性能的影响[J]. 汽车安全与节能学报, 2022, 13(3): 526-534. |
| [10] | 王贺武, 欧阳明高, 李建秋, 杨福源. 中国氢燃料电池汽车技术路线选择与实践进展[J]. 汽车安全与节能学报, 2022, 13(2): 211-224. |
| [11] | 郑阳俊, 贺帅, 帅志斌, 李建秋, 盖江涛, 李勇, 张颖, 李国辉. 基于DRL的四轮独立驱动电动车辆的侧向车速估计[J]. 汽车安全与节能学报, 2022, 13(2): 309-316. |
| [12] | 鲁大钢, 衣丰艳, 胡东海, 程善. 考虑PEMFC动态降载特性的FCV制动能量回收协调控制[J]. 汽车安全与节能学报, 2022, 13(2): 350-357. |
| [13] | 章俊良, 程明, 罗夏爽, 李慧媛, 罗柳轩, 程晓静, 闫晓晖, 沈水云. 车用燃料电池电堆关键技术研究现状[J]. 汽车安全与节能学报, 2022, 13(1): 1-28. |
| [14] | 金思含, 彭忆强, 武小花, 韩震. 成都市燃料电池公交车示范运行行驶工况的构建[J]. 汽车安全与节能学报, 2022, 13(1): 202-208. |
| [15] | 李青山, 汪春梅, 汪陈芳, 时礼宁, 诸葛伟林, 张扬军. 冷凝条件对PEMFC混合工质ORC系统性能的影响[J]. 汽车安全与节能学报, 2021, 12(4): 551-556. |
| 阅读次数 | ||||||
|
全文 |
|
|||||
|
摘要 |
|
|||||