汽车安全与节能学报 ›› 2024, Vol. 15 ›› Issue (1): 63-70.DOI: 10.3969/j.issn.1674-8484.2024.01.007
朱鑫昌1(
), 刘帅1,2,*(
), 王忠1, 华伦2, 帅石金3
收稿日期:2021-07-01
修回日期:2023-09-26
出版日期:2024-02-29
发布日期:2024-02-29
通讯作者:
*刘帅,副教授,E-mail:lstcls@ujs.edu.cn。
作者简介:朱鑫昌(1998—),男(汉),江苏,硕士研究生,E-mail:zxc1998516@163.com。
基金资助:
ZHU Xinchang1(
), LIU Shuai1,2,*(
), WANG Zhong1, HUA Lun2, SHUAI Shijin3
Received:2021-07-01
Revised:2023-09-26
Online:2024-02-29
Published:2024-02-29
摘要:
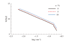
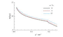
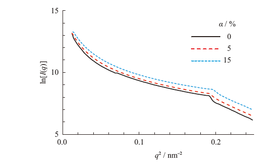
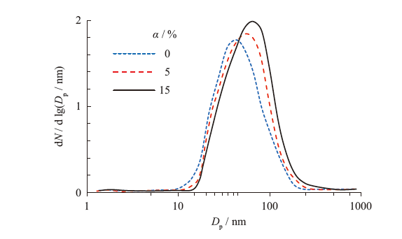
探讨了柴油机燃用代用燃料后,排气颗粒物结构特征的变化规律。依据柴油机台架试验,使用0%、5%、15%甲醇掺混比的F-T(Fischer-Tropsch)合成柴油,在标定工况下采集颗粒。用同步辐射小角散射分析方法测量颗粒物摩擦力、粒径等参数。基于实验数据,在EDEM软件中建立颗粒模型,模拟了颗粒碰撞沉积过程。结果表明:随甲醇掺混比的增加,甲醇、F-T柴油燃烧颗粒间摩擦力增加0.6 N,平均粒径增加2.44 nm。沉积过程中,颗粒捕集器(DPF)单元体非迎风面的沉积量急剧增加;颗粒沉积效率随沉积时间的增加而增加;随摩擦力增大、粒径增大,颗粒层厚度及颗粒链长度也随之增加。甲醇掺混比的改变使得颗粒整体向更多、更细的方向变化,燃料类型及掺混比的改变显著影响了颗粒在DPF载体上的沉积状态。
朱鑫昌, 刘帅, 王忠, 华伦, 帅石金. 煤基燃料燃烧颗粒物对颗粒捕集器沉积过程的影响[J]. 汽车安全与节能学报, 2024, 15(1): 63-70.
ZHU Xinchang, LIU Shuai, WANG Zhong, HUA Lun, SHUAI Shijin. Influence of coal-based fuel combustion particles on DPF deposition process[J]. Journal of Automotive Safety and Energy, 2024, 15(1): 63-70.
| 燃料 | ω(O2) % | ρ g·cm-3 | v mm2·s-1 | 十六烷值 | 低热值 MJ·kg-1 |
|---|---|---|---|---|---|
| F-T柴油 | 0.0 | 0.775 | 2.245 | 75 | 47.35 |
| 甲醇 | 50.0 | 0.792 | 0.580 | 3 | 20.26 |
| FM5 | 2.5 | 0.757 | 2.103 | 71 | 46.00 |
| FM15 | 7.5 | 0.761 | 1.961 | 64 | 43.26 |
| 燃料 | ω(O2) % | ρ g·cm-3 | v mm2·s-1 | 十六烷值 | 低热值 MJ·kg-1 |
|---|---|---|---|---|---|
| F-T柴油 | 0.0 | 0.775 | 2.245 | 75 | 47.35 |
| 甲醇 | 50.0 | 0.792 | 0.580 | 3 | 20.26 |
| FM5 | 2.5 | 0.757 | 2.103 | 71 | 46.00 |
| FM15 | 7.5 | 0.761 | 1.961 | 64 | 43.26 |
| α / % | D | 分形维数 | ln(q / nm-1) | |
|---|---|---|---|---|
| Ds | 0 | 3.92 | 2.18 | -2.52~-0.83 |
| 5 | 3.82 | 2.20 | -2.52~-0.83 | |
| 15 | 3.59 | 2.41 | -2.52~-0.83 | |
| Dm | 0 | 1.40 | 1.40 | -0.83~0.68 |
| 5 | 1.37 | 1.37 | -0.83~0.68 | |
| 15 | 1.14 | 1.14 | -0.83~0.68 |
| α / % | D | 分形维数 | ln(q / nm-1) | |
|---|---|---|---|---|
| Ds | 0 | 3.92 | 2.18 | -2.52~-0.83 |
| 5 | 3.82 | 2.20 | -2.52~-0.83 | |
| 15 | 3.59 | 2.41 | -2.52~-0.83 | |
| Dm | 0 | 1.40 | 1.40 | -0.83~0.68 |
| 5 | 1.37 | 1.37 | -0.83~0.68 | |
| 15 | 1.14 | 1.14 | -0.83~0.68 |
| [1] |
Samavati M, Santarelli M, Martin A, et al. Production of synthetic Fischer-Tropsch diesel from renewables: Thermoeconomic and environmental analysis[J]. Energy Fuels, 2017, 32(2): 1744-1753.
doi: 10.1021/acs.energyfuels.7b02465 URL |
| [2] |
SUN Liang, HAN Haoya, LIU Zhiyong, et al. Immobilization of gold nanoparticles in spherical polymer brushes observed by small-angle X-ray Scattering[J]. Langmuir, 2022, 38(5): 1869-1876.
doi: 10.1021/acs.langmuir.1c03081 URL |
| [3] | Maruyama T, Ohizumi T, Taneoka Y, et al. Sulfur isotope ratios of coals and oils used in China and Japan[J]. Chem Ind Chem, 2000, 15(1): 115-121 |
| [4] | 唐纯逸. 甲醇/柴油混合燃料喷雾特性与液滴相变过程研究[D]. 镇江: 江苏大学, 2022. |
| TANG Chunyi. Study on the spray characteristics and droplet phase change process of methanol/diesel blends[D]. Zhenjiang: Jiangsu University, 2022. (in Chinese) | |
| [5] | 王建, 于威, 王斌. 高原状态下甲醇替代率对柴油机燃烧与排放的影响[J]. 吉林大学学报(工学版), 2023, 53(4): 954-963. |
| WANG Jian, YU Wei, WANG Bin. The influence of methanol substitution rate on diesel engine combustion and emissions under plateau conditions[J]. J Jilin Univ (Engi Ed), 2023, 53(4): 954-963. (in Chinese) | |
| [6] | 宇文浩男, 王铁, 石晋宏, 等. 基于数值模型的F-T煤制油柴油机排放优化研究[J]. 机械设计与制造, 2022(6): 189-192+198. |
| YU Wenhao, WANG Tie, ShI Jinhong, et al. Research on emission optimization of F-T coal to liquid diesel engine based on numerical models[J]. Mech Des Manu, 2022(6): 189-192+198. (in Chinese) | |
| [7] | 石晋宏. 基于CMLIA的F-T煤制油柴油机喷油参数优化研究[D]. 太原: 太原理工大学, 2020. |
| SHI Jinhong. Optimization of fuel injection parameters of F-T coal to liquid diesel engine based on CMLIA[D]. Taiyuan: Taiyuan University of Technology, 2020. (in Chinese) | |
| [8] |
HUA Yan, LIU Shuai, LI Ruina, et al. Experimental study of regulated and unregulated emissions from a diesel engine using coal-based fuels[J]. Fuel, 2020, 280: 118658.
doi: 10.1016/j.fuel.2020.118658 URL |
| [9] |
CHEN Dongdong, WANG Tie, YANG Tiantian, et al. Effects of EGR combined with DOC on emission characteristics of a two-stage injected Fischer-Tropsch diesel/methanol dual-fuel engine[J]. Fuel, 2022, 329(5): 125451.
doi: 10.1016/j.fuel.2022.125451 URL |
| [10] | 刘帅, 姚晓航, 孙勇, 等. 甲醇/F-T柴油预混燃烧的数值模拟[J]. 江苏大学学报(自然科学版), 2022, 43(2): 139-146. |
| LIU Shuai, YAO Xiaohang, SUN Yong, et al. Numerical simulation of methanol/F-T diesel premixed combustion[J]. J Jiangsu Univ (Nat Sci Ed), 2022, 43(2): 139-146. (in Chinese) | |
| [11] | Godoy M L, Milt V G, Miró E E, et al. Scaling-up of the catalytic stacked wire mesh filters for the abatement of diesel soot[J]. Catalysis Today, 2022, 394: 434-444. |
| [12] |
GE Junchun, Choi N. Soot particle size distribution, regulated and unregulated emissions of a diesel engine fueled with palm oil biodiesel blends[J]. Energies, 2020, 13(21): 5736-5741.
doi: 10.3390/en13215736 URL |
| [13] | Lee K, Kim S, Oh K C. The effect of pore structure on thermal characteristics of a cordierite diesel particulate filter for heavy duty diesel vehicle[J]. Int’l J Automotive Tech, 2021, 22(1): 243-251. |
| [14] | Nakamura M, Ozawa M. Phenomena of PM deposition and oxidation in the diesel particulate filter[C]// 2019 JSAE/SAE Powertrains, Fuels Lubri Int’l Meet, 2019. DOI: 10.4271/2019-01-2288. |
| [15] | MENG Zhongwei, LI Jie, FANG Jia, et al. Experimental study on regeneration performance and particle emission characteristics of DPF with different inlet transition sections lengths[J]. Fuel, 2020, 262: 116-122. |
| [16] | 李铭迪. 含氧燃料颗粒状态特征及前驱体形成机理研究[D]. 镇江: 江苏大学, 2014. |
| LI Mingdi. Study on the state characteristics and precursor formation mechanism of oxygen containing fuel particles[D]. Zhenjiang: Jiangsu University. (in Chinese) | |
| [17] | ZHANG Yu, WANG Zhong, LI Ruina, Study on physicochem ical properties of biodiesel and Fischer Tropsch diesel exhaust particle[J]. Energy Sour Part A: Recov Utiliz Envir Effe, 2020, 115(1): 11589. |
| [18] |
Esayanur M S, Yeruva S B, Rabinovich Y I, et al. Interaction force measurements using atomic force microscopy for characterization and control of adhesion, dispersion and lubrication in particulate systems[J]. J Adhes Sci Tech, 2005, 19(8): 611-626.
doi: 10.1163/1568561054890516 URL |
| [19] | 王凯. 柴油机排气颗粒物在DPF壁面沉积过程研究[D]. 镇江: 江苏大学, 2021. |
| WANG Kai. Research on the deposition process of diesel engine exhaust particles on the DPF wall[D]. Zhenjiang: Jiangsu University, 2021. (in Chinese) | |
| [20] | 李游. 柴油机排气过程对颗粒形貌及力学特征的影响研究[D]. 镇江: 江苏大学, 2021. |
| LI You. Research on the influence of diesel engine exhaust process on particle morphology and mechanical characteristics[D]. Zhenjiang: Jiangsu University, 2021. (in Chinese) | |
| [21] | 宁智, 资新运, 王宪成. 脉动排气对柴油机微粒凝并作用的研究[J]. 燃烧科学与技术, 2023, 11: 17-22. |
| NING Zhi, ZI Xinyun, WANG Xiancheng. A study on the effect of pulsating exhaust on diesel engine particle coalescence[J]. Combu Sci Tech, 2023, 11: 17-22. (in Chinese) |
| [1] | 钱伟伟, 石秀勇, 李松, 帅石金. 氨气影响乙烯层流扩散火焰颗粒微观结构的试验研究[J]. 汽车安全与节能学报, 2023, 14(5): 618-627. |
| [2] | 付雪青, 张岩, 丁占铭, 庄安帮, 朱伟, 程江华, 张树勇. 进排气压力对气门式二冲程柴油机扫气过程的影响[J]. 汽车安全与节能学报, 2023, 14(1): 125-132. |
| [3] | 张凡, 李梁, 于津涛. 用不同算法时载荷条件对重型车比排放影响的对比试验[J]. 汽车安全与节能学报, 2022, 13(2): 397-405. |
| [4] | 赵国权, 邓建林. 国六重负荷柴油机的低粘度节能型机油应用及可靠性影响[J]. 汽车安全与节能学报, 2021, 12(4): 596-603. |
| [5] | 彭美春, 廖清睿, 王海龙, 叶伟斌. 山路行驶的柴油车污染物排放特性试验[J]. 汽车安全与节能学报, 2021, 12(1): 100-105. |
| [6] | 朱观宏, 宋康, 谢辉, 陈韬, 钱振环. 基于物理模型和支持向量机的柴油机冷却系统故障诊断算法[J]. 汽车安全与节能学报, 2020, 11(4): 529-537. |
| [7] | 谢辉, 聂振华, 陈韬. 基于 Bayes 正则化的柴油机神经网络燃烧预测模型[J]. 汽车安全与节能学报, 2020, 11(3): 345-354. |
| [8] | 张帅虎, 高昀琦, 郭跃杰, 赵璟仪, 陈龙飞 . 稀释比对预混燃烧器排气中颗粒物粒径分布影响[J]. 汽车安全与节能学报, 2020, 11(3): 355-361. |
| [9] | 陈韬,李少华,宋康,谢辉. 电辅助涡轮增压柴油机进气氧气质量分数的主动抗扰控制[J]. JASE, 2019, 10(4): 492-501. |
| [10] | 帅石金,刘世宇,马 骁,等. 重型柴油车满足近零排放法规的技术分析[J]. JASE, 2019, 10(1): 16-31. |
| [11] | 牛晓巍,华 伦,张 俊,王 洪,陈洪亮,帅石金. 钾基玻璃态催化剂及其对颗粒物的氧化性能[J]. JASE, 2018, 9(01): 93-98. |
| [12] | 方铁钢,王利兵,王 志. 汽油直喷发动机的颗粒物排放研究综述( 英文)[J]. JASE, 2017, 08(03): 226-238. |
| [13] | 艾尼塞,王国仰,张 俊,帅石金. 柴油机颗粒过滤器再生过程的碳氢喷射模拟( 英文)[J]. JASE, 2017, 08(03): 268-278. |
| [14] | 张武高,王志宇,田 强,高 深. 润滑油特性对柴油机颗粒排放性能影响的试验研究[J]. JASE, 2017, 08(03): 296-392. |
| [15] | 张凡,杨正军,钟祥麟. 轻型车颗粒物质量排放和颗粒物数量排放的转鼓试验[J]. JASE, 2017, 08(02): 190-197. |
| 阅读次数 | ||||||
|
全文 |
|
|||||
|
摘要 |
|
|||||