Journal of Automotive Safety and Energy ›› 2026, Vol. 17 ›› Issue (1): 70-78.DOI: 10.3969/j.issn.1674-8484.2026.01.007
• Automotive Energy Efficiency and Environment Protection • Previous Articles Next Articles
LI Zhao1(
), LONG Wuqiang1,2, TIAN Hua1,2
Received:2025-09-28
Revised:2025-11-24
Online:2026-02-28
Published:2026-03-19
CLC Number:
LI Zhao, LONG Wuqiang, TIAN Hua. Optimization of energy management in methanol-electric hybrid propulsion systems[J]. Journal of Automotive Safety and Energy, 2026, 17(1): 70-78.
Add to citation manager EndNote|Ris|BibTeX
URL: https://www.journalase.com/EN/10.3969/j.issn.1674-8484.2026.01.007
| 缸数 | 8个 |
|---|---|
| 缸径 | 128 mm |
| 行程 | 140 mm |
| 连杆长度 | 255 mm |
| 压缩比 | 12∶1 |
| 进气涡流比(1 500 r /min,220 kW时) | 0.4 |
| 额定功率(1 500 r /min时) | 220 kW |
| 最低燃油消耗率 | 225 g / (kWh) |
| 最低油耗点功率 | 180 kW |
| 最低油耗点转速 | 1 400 r /min |
| 最大扭矩 | 1.6 kNm |
| 缸数 | 8个 |
|---|---|
| 缸径 | 128 mm |
| 行程 | 140 mm |
| 连杆长度 | 255 mm |
| 压缩比 | 12∶1 |
| 进气涡流比(1 500 r /min,220 kW时) | 0.4 |
| 额定功率(1 500 r /min时) | 220 kW |
| 最低燃油消耗率 | 225 g / (kWh) |
| 最低油耗点功率 | 180 kW |
| 最低油耗点转速 | 1 400 r /min |
| 最大扭矩 | 1.6 kNm |
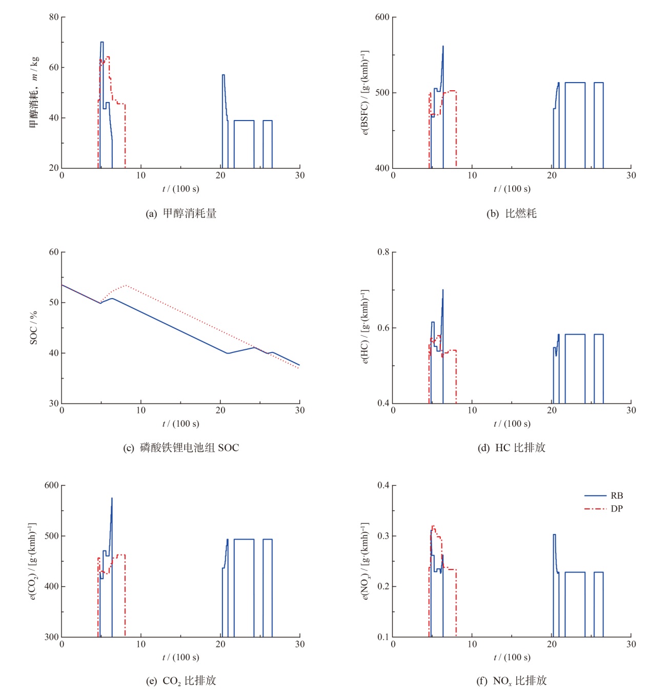
| 控制策略 | 能耗/ (kWh) | 甲醇消耗, m / g | 比排放,e / [g·(kWh)-1] | ||
|---|---|---|---|---|---|
| HC | CO2 | NOx | |||
| RB | 56.25 | 250.7 | 0.602 | 502.1 | 0.246 |
| DP | 52.82 | 180.0 | 0.355 | 288.3 | 0.171 |
| 降幅/ % | 6.1 | 28.2 | 41.0 | 42.6 | 30.5 |
| 控制策略 | 能耗/ (kWh) | 甲醇消耗, m / g | 比排放,e / [g·(kWh)-1] | ||
|---|---|---|---|---|---|
| HC | CO2 | NOx | |||
| RB | 56.25 | 250.7 | 0.602 | 502.1 | 0.246 |
| DP | 52.82 | 180.0 | 0.355 | 288.3 | 0.171 |
| 降幅/ % | 6.1 | 28.2 | 41.0 | 42.6 | 30.5 |
| [1] | 李碧英. 航运业节能减排现状及其低碳发展的途径[J]. 工程研究-跨学科视野中的工程, 2012, 4(3): 260-269. |
| LI Biying. The current situation of energy conservation and emission reduction in the shipping industry and the ways of low-carbon development[J]. Engi Res-Eng Interdiscip Persp, 2012, 4(3): 260-269. (in Chinese) | |
| [2] | 廖兵兵. “双碳”目标下我国航运实现碳中和路径研究[J]. 太平洋学报, 2022, 30(12): 89-100. |
| LIAO Bingbing. Research on the path of achieving carbon neutrality in China's shipping industry under the “Dual Carbon” goal[J]. Pacif J, 2022, 30(12): 89-100. (in Chinese) | |
| [3] | 曲维平. 混合动力船舶能量管理优化技术及趋势[J]. 船舶工程, 2024, 46(S1): 543-548, 554. |
| QU Weiping. Optimization technology and trends of hybrid ship energy management[J]. Ship Engi, 2024, 46(S1): 543-548, 554. (in Chinese) | |
| [4] | 刘俊涛, 何金伟, 周云龙. 船舶甲醇设备与传统燃油设备性能对比及发展分析[J]. 船舶物资与市场, 2025, 33(6): 48-50. |
| LIU Juntao, HE Jinwei, ZHOU Yunlong. Performance comparison and development analysis of ship methanol equipment and traditional fuel equipment[J]. Ship Mat Mark, 2025, 33(6): 48-50. (in Chinese) | |
| [5] |
Mushtaq R, Iqbal M, Khaliq A, et al. Optimal design of a hybrid ship energy management system under various sea conditions using Model Predictive Control[J]. PloS one, 2025, 20(7): e0326969.
doi: 10.1371/journal.pone.0326969 URL |
| [6] | Aletras N, Kontakiotis K A, Kefalas N, et al. Optimization-based energy management algorithm for 2-stroke hybrid ship with controllable pitch propeller[J]. J Mari Sci Engi, 2024, 12(12): 2331-2331. |
| [7] | Nivolianiti E, Karnavas L Y, Charpentier F J. Fuzzy logic-based energy management strategy for hybrid fuel cell electric ship power and propulsion system[J]. J Mari Sci Engi, 2024, 12(10): 1813-1813. |
| [8] | Truong A V H, Do C T, Dang D T(越南人). Enhancing efficiency in hybrid marine vessels through a multi-layer optimization energy management system[J]. J Mari Sci Engi, 2024, 12(8): 1295-1295. |
| [9] | YUAN Yupeng, CHEN Mingshuang, WANG Jixiang, et al. A novel hybrid energy management strategy of a diesel-electric hybrid ship based on dynamic programing and model predictive control[J]. Proc Inst Mech Engi, Part M: J Engi Mari Environ, 2022, 236(3): 644-657. |
| [10] |
YANG Qi, ZHANG Shengchao, ZHAO Wenhai, et al. A two-stage energy management strategy for hybrid ship power systems considering the dynamic output characteristics of batteries[J]. Appl Energy, 2025, 396: 126232.
doi: 10.1016/j.apenergy.2025.126232 URL |
| [11] | 兰熙, 沈爱弟, 高迪驹, 等. 混合动力船舶能量管理系统的最优控制[J]. 电源技术, 2016, 40(9): 1859-1862. |
| LAN Xi, SHEN Aidi, GAO Diju, et al. Optimal control of hybrid ship energy management system[J]. Power Tech, 2016, 40(9): 1859-1862. (in Chinese) | |
| [12] | 叶华. 混联式柴电混合动力船舶能量管理策略研究[D]. 哈尔滨: 哈尔滨工业大学, 2023. |
| YE Hua. Research on energy management strategy of hybrid diesel electric hybrid ship[D]. Harbin: Harbin Institute of Technology, 2023. (in Chinese) | |
| [13] | HUANG Zheng, JIANG Chengling, SHEN Chao, et al. A hybrid dynamic path-planning method for obstacle avoidance in unmanned aerial vehicle-based power inspection[J]. World Elect Vehi J, 2025, 16(1): 22-40. |
| [14] |
Kunicka M, Litwin W. Energy demand of short-range inland ferry with series hybrid propulsion depending on the navigation strategy[J]. Energies, 2019, 12(18) 3499.
doi: 10.3390/en12183499 URL |
| [15] | 陈俊东. 甲醇发动机多目标优化方法对比研究[D]. 武汉: 华中科技大学, 2020. |
| CHEN Jundong. Comparative study on multi-objective optimization methods for methanol engines[D]. Wuhan: Huazhong University of Science and Technology, 2020. (in Chinese) | |
| [16] | 尹文龙. 柴电混合动力系统动力匹配与控制仿真研究[D]. 武汉: 武汉理工大学, 2020. |
| YIN Wenlong. Research on power matching and control simulation of diesel-electric hybrid power system[D]. Wuhan: Wuhan University of Technology, 2020. (in Chinese) | |
| [17] | YANG Mingdai, HU Shengqiao, Li Changping, et al. Enhancing precision in two-dimensional lithium battery modeling using an improved discharge boundary condition setting within the lattice Boltzmann method framework for broad applications[J]. J Powe Sour, 2025, 644: 237100. |
| [18] | ZHANG Tao, YU Zhongjun, LIN Huangda. Closed-form solution to the dynamic programming for a heavy-duty parallel hybrid vehicle energy management[J]. J Contr Dec, 2024, 11(1): 107-116. |
| [1] | ZHANG Rongyu, ZHAO Xuan, WANG Shu, LI Meiying. Robust model prediction based clamping force control for electro-mechanical braking systems [J]. Journal of Automotive Safety and Energy, 2025, 16(6): 832-842. |
| [2] | LI Zhao, LONG Wuqiang, TIAN Hua. Research on global optimal control strategy for hybrid power system with composite energy storage [J]. Journal of Automotive Safety and Energy, 2025, 16(6): 877-885. |
| [3] | DAI Lihong, JIN Nini, MO Zonghua, HU Peng, WAN Wenjun, LIU Haoye, WANG Tianyou. Hierarchical energy management strategy for PHEVs based on segmented SOC trajectory prediction [J]. Journal of Automotive Safety and Energy, 2025, 16(5): 736-746. |
| [4] | ZHOU Quan, ZHANG Cetengfei, LI Yanfei, SHUAI Bin, XU Hongming. Robust optimization of energy management strategy in hybrid vehicles based on digital twin and PSO algorithm [J]. Journal of Automotive Safety and Energy, 2022, 13(3): 517-525. |
| [5] | SONG Bo, SUN Kai, CHE Zhizhao, CHEN Rui, LIU Huaiyu, REN Meilin, WANG Tianyou. Influence of the energy management strategy on the thermal management system performance of fuel cell bus [J]. Journal of Automotive Safety and Energy, 2022, 13(3): 526-534. |
| [6] | LI Minqing, FENG Jian, HAN Zhiyu. Performance comparation of the series type and the range-extender type of the hybrid light commercial vehicles [J]. Journal of Automotive Safety and Energy, 2022, 13(3): 550-559. |
| [7] | LIU Jianhui, YAO fangfang, ZHANG Yan. Parameters optimization of hybrid electric vehicle based on crossover-mutation bee colony algorithm [J]. Journal of Automotive Safety and Energy, 2021, 12(2): 186-192. |
| [8] | WANG Yu’an, LUO Jiaxin, WANG Yachao, WANG Xin, GE Yunshan, JIANG Zhen. Real road tests of the emission from extended-range electric vehicles with different energy management strategies [J]. Journal of Automotive Safety and Energy, 2021, 12(2): 219-225. |
| [9] | YANG Chao, DU Xuelong, WANG Weida, XIANG Changle. Research on real-time optimization energy management strategy of PHEV under intelligent networking environment [J]. Journal of Automotive Safety and Energy, 2021, 12(2): 210-218. |
| [10] | TONG Shengwen, CHEN Tao, XIE hui. Energy management strategy of plug-in hybrid electric vehicle based on system comprehensive efficiency optimization [J]. Journal of Automotive Safety and Energy, 2021, 12(1): 91-99. |
| [11] | PANG Hanze, WANG Li, YUAN Yiqing. Energy management strategy for novel dual-mode PHEV system based on DP algorithm [J]. Journal of Automotive Safety and Energy, 2020, 11(2): 227-235. |
| [12] | ZHOU Yunshan, YANG Haojie. Synthetic parameter optimization of hybrid electric vehicle considering electric drive system cost [J]. Journal Of Automotive Safety And Energy, 2015, 6(03): 265-271. |
| Viewed | ||||||
|
Full text |
|
|||||
|
Abstract |
|
|||||