| [1] |
吕立群, 尹航, 王军方, 等. 基于功基窗口法的国六重型柴油车实际道路排放研究[J]. 中国环境科学, 2021, 41(8): 3539-3545.
|
|
LÜ Liqun, YIN Hang, WANG Junfang, et al. Research on real driving emissions from China-VI heavy-duty diesel vehicles based on work-based window method[J]. Chin Envi Sci, 2021, 41(8): 3539-3545. (in Chinese)
|
| [2] |
生态环境部,国家市场监督管理总局. GB 17691-2018重型柴油车污染物排放限值及测量方法(中国第六阶段)[S]. 北京: 中国标准出版社, 2018.
|
|
Ministry of Ecology and Environment (China), State Administration for Market Regulation of the PRC. GB 17691-2018 Limits and measurement methods for emissions from diesel fueled heavy-duty vehicles (China VI)[S]. Beijing: Standards Press of China. 2018. (in Chinese)
|
| [3] |
工业和信息化部. 重型商用车燃料消耗量测试方法: GB/T 27840-2021[S]. 北京: 中国标准出版社, 2021.
|
|
Ministry of Industry and Information Technology. Fuel consumption test methods for heavy-duty commercial vehicles: GB/T 27840-2011[S]. Beijing: Standards Press of China. 2021. (in Chinese)
|
| [4] |
Abdull N, Yoneda M, Shimada Y. Traffic characteristics and pollutant emission from road transport in urban area[J]. Air Quality Atmosphere Health, 2020, 13: 731-738.
doi: 10.1007/s11869-020-00830-w
|
| [5] |
WANG Qi, FENG Haixia, FENG Haiying, et al. The impacts of road traffic on urban air quality in Jinan based GWR and remote sensing[J/OL]. Sci Rep, 2021, 11(1): Paper No 15512. (2021-07-30). https://doi.org/10.1038/s41598-021-94159-8.
|
| [6] |
Lima M A, Sthel M S. Emission of air pollution in the transport sector: Case study of the city of Campos dos Goytacazes, Brazil[J]. Engineering, 2020, 12(12): 851-862.
doi: 10.4236/eng.2020.1212060
URL
|
| [7] |
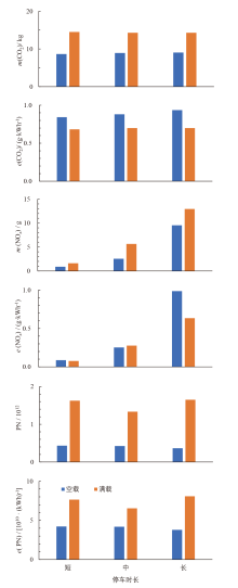
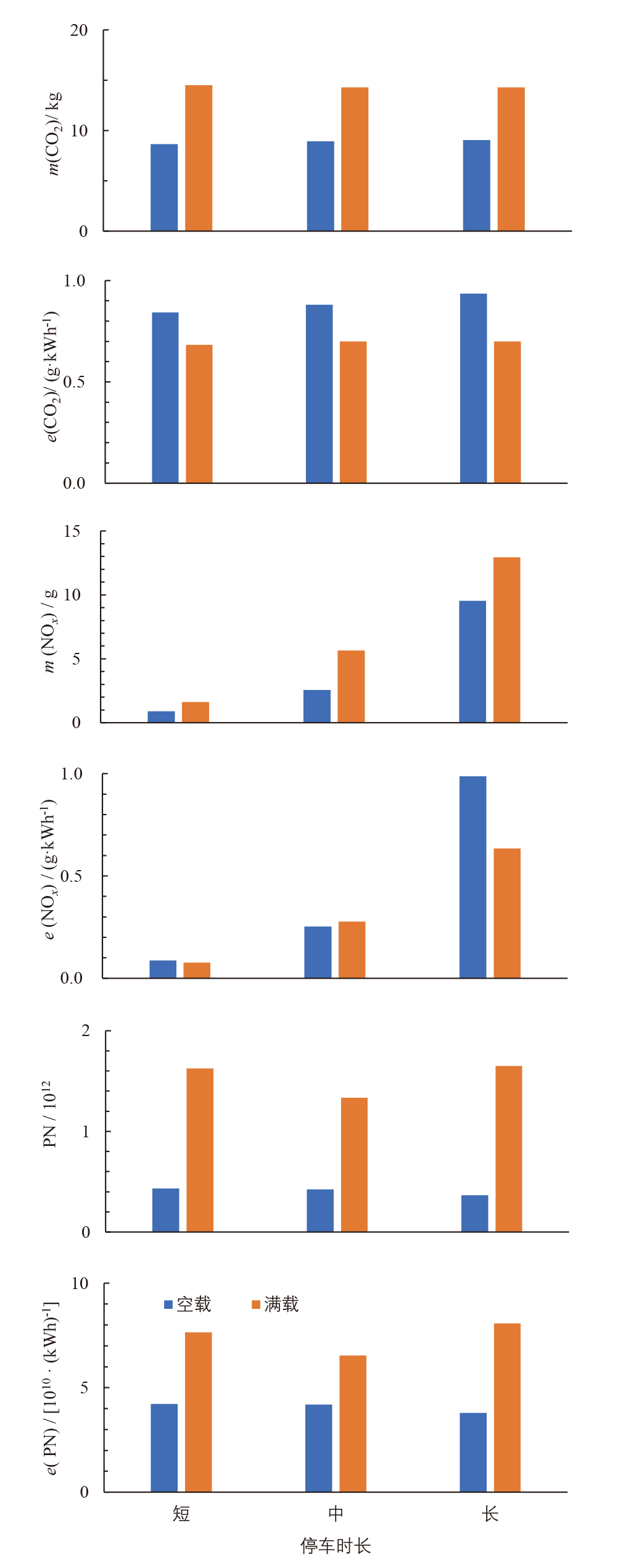
汪晓伟, 景晓军, 高涛, 等. 重型车低负荷运行特征及 NOx排放特性分析[J]. 中国环境科学, 2022, 42(11): 5063-5071.
|
|
WANG Xiaowei, JING Xiaojun, GAO Tao, et al. Low load running characteristics and NOx emission under low load for heavy-duty diesel vehicles[J]. Chin Envir Sci, 2022, 42(11): 5063-5071. (in Chinese)
|
| [8] |
张凡, 李梁, 于津涛. 用不同算法时载荷条件对重型车比排放影响的对比试验[J]. 汽车安全与节能学报, 2022, 13(2): 397-405.
|
|
ZHANG Fan, LI Liang, YU Jintao. Comparative test of influence of load conditions on specific emissions of heavy-duty vehicles with different calculation methods[J]. J Auto Safe Energ, 2022, 13(2): 397-405. (in Chinese)
|
| [9] |
许家毅, 刘宝利, 张佑源, 等. 车辆载荷对国六重型柴油车排放的影响研究[J]. 小型内燃机与车辆技术, 2020, 49(6): 29-34.
|
|
XU Jiayi, LIU Baoli, ZHANG Youyuan, et al. Research on the influence of vehicle load on the emissions of china Ⅵ heavy-duty diesel vehicles[J]. Small Internal Comb Engine Vehi Tech, 2020, 49(6): 29-34. (in Chinese)
|
| [10] |
WANG Xiaowei, FU Tieqiang, WANG Chuanqi, et al. Fuel consumption and emissions at china automotive test cycle for a heavy duty vehicle based on engine-in-the-loop methodology[J]. J Phys Conf Series, 2020, 1549: Paper No 022119.
|
| [11] |
汪晓伟, 景晓军, 高涛, 等. 基于发动机在环的重型柴油车实际道路细小颗粒物排放特性研究[J]. 汽车工程, 2022, 44(1): 58-63.
|
|
WANG Xiaowei, JING Xiaojun, GAO Tao, et al. Study on real driving fine particles emission characteristics for a heavy-duty diesel vehicle based on engine-in-the-loop methodology[J]. Automotive Engineering, 2022, 44(1): 58-63. (in Chinese)
|
| [12] |
汪晓伟, 凌健, 闫峰. 发动机在环(EIL)仿真的应用和进展综述[J]. 小型内燃机与车辆技术. 2019, 48(5): 79-84.
|
|
WANG Xiaowei, LING Jian, YAN Feng. Review on engine-in-the-loop simulation: application and development[J]. Small Internal Combu Engine Vehi Tech, 2019, 48(5): 79-84. (in Chinese)
|