欢迎访问《汽车安全与节能学报》,

汽车安全与节能学报 ›› 2021, Vol. 12 ›› Issue (4): 580-586.DOI: 10.3969/j.issn.1674-8484.2021.04.017

• 汽车节能与环保 • 上一篇    下一篇

二甲醚微火焰引燃高稀释汽油混合气燃烧和排放特性

付雪青1,2(), 何邦全1,*(), 徐思鹏1, 赵华1, 郭文翠2, 杨建军2, 高海洋2, 李振国2   

  1. 1.天津大学 机械工程学院,天津 300354,中国
    2.中国汽车技术研究中心有限公司 汽车工程研究院,天津 300300,中国
  • 收稿日期:2021-07-31 出版日期:2021-12-31 发布日期:2022-01-10
  • 通讯作者: 何邦全
  • 作者简介:* 何邦全(1964—), 男(汉),安徽,副教授。E-mail: bqhe@tju.edu.cn
    付雪青(1986—),男(汉),天津,博士。E-mail: xueqingfu@tju.edu.cn
  • 基金资助:
    国家自然科学基金资助项目(52076148);国家“973”重点基础研究发展计划(2013CB228403)

Combustion and emissions characteristics of highly diluted gasoline mixture ignited by DME enabled micro-flame

FU Xueqing1,2(), HE Bangquan1,*(), XU Sipeng1, ZHAO Hua1, GUO Wencui2, YANG Jianjun2, GAO Haiyang2, LI Zhenguo2   

  1. 1. School of Mechanical Engineering, Tianjin University, Tianjin 300354, China
    2. Automotive Engineering Research Institute, China Automotive Technology & Research Center Co. Ltd, Tianjin 300300, China
  • Received:2021-07-31 Online:2021-12-31 Published:2022-01-10
  • Contact: HE Bangquan

摘要:

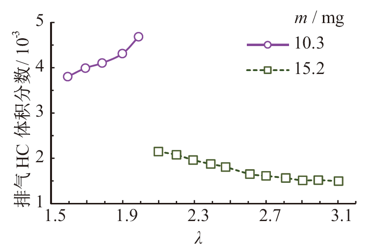
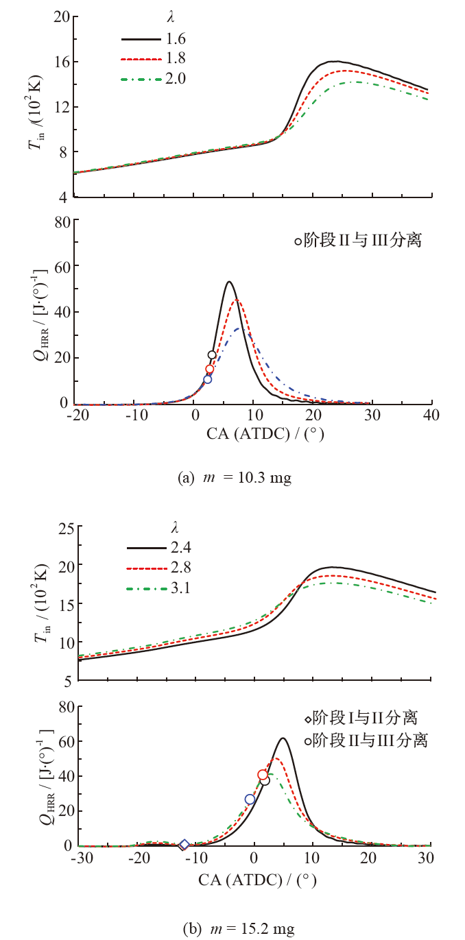
为改善高稀释下燃烧稳定性和缩短燃烧持续期,由直喷少量二甲醚(DME)的压缩自燃着火形成多点微火焰,调控由气道喷射形成高稀释汽油混合气的燃烧过程,即微火焰引燃(MFI)混合燃烧。在一台单缸四冲程热力学发动机上研究了部分负荷下热废气和空气稀释对MFI燃烧和排放特性的影响,提高进气压力以增加过量空气系数(λ)和减少内部热废气率。结果表明:较低燃料量时λ对着火时刻影响较弱,高λ使燃烧持续期增长;较高燃料量时高λ使着火时刻提前,燃烧持续期逐渐增加。高λ下净指示平均有效压力(pIMEPn)和指示热效率(ηnet)先增加后减少,pIMEPn为0.32、0.56 MPa时ηnet分别为35.4%和42.3%。随λ增加,未燃碳氢排放在低燃料量下增加,在较高燃料量下减少;一氧化碳排放增加,而低于15×10-6的氮氧化物排放减少。

关键词: 汽油机, 排放特性, 混合燃烧, 废气稀释, 二甲醚(DME), 空气稀释

Abstract:

To improve combustion stability and shorten combustion duration in highly dilution conditions, the auto-ignition of a small amount of direct injection dimethyl ether (DME) only through compression formed multi-point micro-flame, aiming at regulating the combustion processes of highly diluted gasoline mixture formed by port fuel injection, which is known as micro-flame ignited (MFI) hybrid combustion. The effects of hot exhaust gases and air dilution on the combustion and emissions characteristics of MFI combustion were experimentally investigated at part loads in a single-cylinder four-stroke thermodynamic engine, and increasing intake pressure increased the excess air coefficient (λ) and lowered internal exhaust gases rate. The results show that ignition timing is slightly affected by λ, while combustion duration elongates at higher λ in the case of low amount of fuel. In the case of higher amount of fuel, ignition timing advances and combustion duration gradually increases at higher λ. Net indicated mean effective pressure (pIMEPn) and indicated thermal efficiency increase firstly and then reduce with increased λ, and the indicated thermal efficiency can be reached at 35.4% at 0.32 MPa pIMEPn and 42.3% at 0.56 MPa pIMEPn, respectively. With λ increasing, unburned hydrocarbon emissions increase in the cose of low amount of fuel, while reduce in the cose of higher amount of fuel. In the meantime, CO emissions increase, and NOx emissions which are lower than 15×10-6 reduce.

Key words: gasoline engine, emissions characteristics, hybrid combustion, exhaust gases dilution, dimethyl ether(DME), air dilution

中图分类号: