汽车安全与节能学报 ›› 2021, Vol. 12 ›› Issue (4): 570-579.DOI: 10.3969/j.issn.1674-8484.2021.04.016
收稿日期:2021-06-21
出版日期:2021-12-31
发布日期:2022-01-10
通讯作者:
张剑波
作者简介:* 张剑波 (1967—),男(汉), 河南, 教授。Email: jbzhang@tsinghua.edu.cn。基金资助:
DONG Peng1(
), ZHANG Jianbo1,2,*(
), WANG Zhenpo1
Received:2021-06-21
Online:2021-12-31
Published:2022-01-10
Contact:
ZHANG Jianbo
摘要:
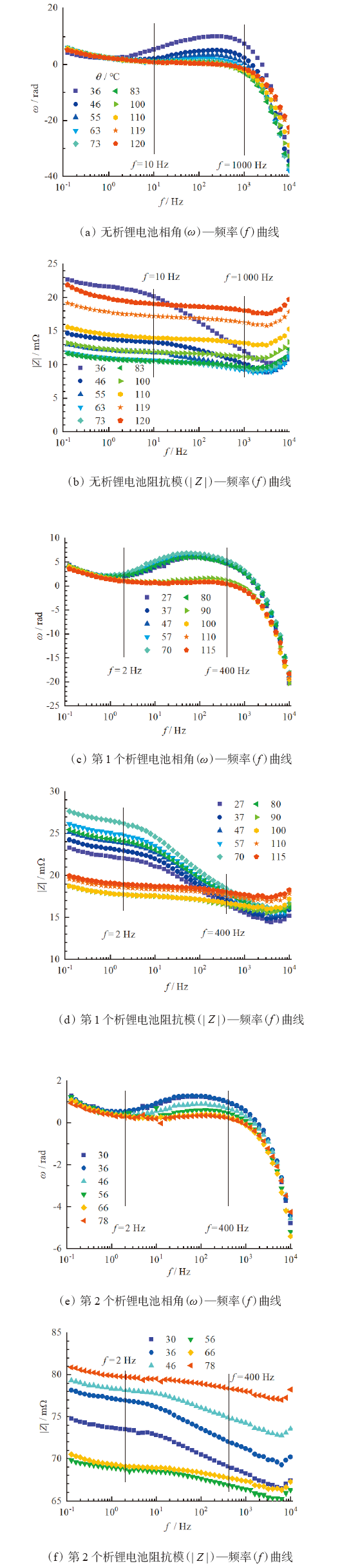
根据无析锂和析锂锂离子电池在不同温度下电化学阻抗谱变化趋势,应用等效电路模型分别拟合电化学阻抗谱中的Ohm阻抗和固体-电解液界面阻抗,提出了EIS-Ohm法和EIS-SEI法,利用扫描电镜和化学方法对析锂检测方法进行了验证。随着温度升高,析锂电池的电化学阻抗谱中的Ohm阻抗先增大后减小,固体-电解液界面阻抗变化较小;扫描电镜观察和化学方法确定了电池电极表面析出锂金属形貌和化学变化特性。结合电池工作温度 (-10~60 ℃) 和检测时间 (> 21 min),讨论了2种析锂检测方法的可行性。结果表明:基于电化学阻抗谱开发的2种检测方法能够清晰地判断电池发生析锂现象,这一快速、非解体检测方法对电池寿命和安全管理具有重要意义。
中图分类号:
董鹏, 张剑波, 王震坡. 基于电化学阻抗谱的锂离子电池析锂检测方法[J]. 汽车安全与节能学报, 2021, 12(4): 570-579.
DONG Peng, ZHANG Jianbo, WANG Zhenpo. Lithium plating identification based on electrochemical impedance spectra of lithium ion batteries[J]. Journal of Automotive Safety and Energy, 2021, 12(4): 570-579.
| [1] |
LI Zhe, HUANG Jun, Liaw B Y, et al. A review of lithium deposition in lithium-ion and lithium metal secondary batteries[J]. J Power Sources, 2014, 254:168-182.
doi: 10.1016/j.jpowsour.2013.12.099 URL |
| [2] |
Petzl M, Kasper M, Danzer M A. Lithium plating in a commercial lithium-ion battery - A low-temperature aging study[J]. J Power Sources, 2015, 275:799-807.
doi: 10.1016/j.jpowsour.2014.11.065 URL |
| [3] |
Steiger J, Kramer D, Mönig R. Microscopic observations of the formation, growth and shrinkage of lithium moss during electrodeposition and dissolution[J]. Electrochimica Acta, 2014, 136:529-536.
doi: 10.1016/j.electacta.2014.05.120 URL |
| [4] |
Sagane F, Shimokawa R, Sano H, et al. In-situ scanning electron microscopy observations of Li plating and stripping reactions at the lithium phosphorus oxynitride glass electrolyte/Cu interface[J]. J Power Sources, 2013, 225:245-250.
doi: 10.1016/j.jpowsour.2012.10.026 URL |
| [5] |
Park G, Gunawardhana N, Nakamura H, et al. Suppression of Li deposition on surface of graphite using carbon coating by thermal vapor deposition process[J]. J Power Sources, 2011, 196(22):9820-9824.
doi: 10.1016/j.jpowsour.2011.07.006 URL |
| [6] |
Wood K N, Teeter G. XPS on Li-battery-related compounds: Analysis of inorganic SEI phases and a methodology for charge correction[J]. ACS Appl Energ Mater, 2018, 1(9):4493-4504.
doi: 10.1021/acsaem.8b00406 URL |
| [7] |
GE Hao, Aoki T, Ikeda N, et al. Investigating Lithium Plating in Lithium-Ion Batteries at Low Temperatures Using Electrochemical Model with NMR Assisted Parameterization[J]. J Electrochem Soc, 2017, 164(6):A1050-A1060.
doi: 10.1149/2.0461706jes URL |
| [8] |
Zinth V, Von Lüders C, Hofmann M, et al. Lithium plating in lithium-ion batteries at sub-ambient temperatures investigated by in situ neutron diffraction[J]. J Power Sources, 2014, 271:152-159.
doi: 10.1016/j.jpowsour.2014.07.168 URL |
| [9] |
Bitzer B, Gruhle A. A new method for detecting lithium plating by measuring the cell thickness[J]. J Power Sources, 2014, 262:297-302.
doi: 10.1016/j.jpowsour.2014.03.142 URL |
| [10] |
Downie L E, Krause L J, Burns J C, et al. In situ detection of lithium plating on graphite electrodes by electrochemical calorimetry[J]. J Electrochem Soc, 2013, 160(4):A588-A594.
doi: 10.1149/2.049304jes URL |
| [11] |
CHEN Xiang, LI Liangyu, LIU Mengmeng, et al. Detection of lithium plating in lithium-ion batteries by distribution of relaxation times[J]. J Power Sources, 2021, 496:229867-229876.
doi: 10.1016/j.jpowsour.2021.229867 URL |
| [12] |
Waldmann T, Wohlfahrt-Mehrens M. Effects of rest time after Li plating on safety behavior: ARC tests with commercial high-energy 18650 Li-ion cells[J]. Electrochimica Acta, 2017, 230:454-460.
doi: 10.1016/j.electacta.2017.02.036 URL |
| [13] |
Petzl M, Danzer M A. Nondestructive detection, characterization, and quantification of lithium plating in commercial lithium-ion batteries[J]. J Power Sources, 2014, 254:80-87.
doi: 10.1016/j.jpowsour.2013.12.060 URL |
| [14] | 张剑波, 苏来锁, 李新宇, 等. 基于锂离子电池老化行为的析锂检测[J]. 电化学, 2016, 22(6):607-616. |
| ZHANG Jianbo, SU Laisuo, LI Xinyu, et al. Lithium plating identification from degradation behaviors of lithium-ion cells[J]. J Electrochem, 2016, 22(6):607-616. (in Chinese) | |
| [15] | ZHANG Yakun, LI Xinyu, SU Laisuo, et al. Lithium plating detection and quantification in Li-ion cells from degradation behaviors[J]. Ecs Transactions, 2017, 75(23):37-50. |
| [16] | WU Xiaogang, WANG Wenbo, DU Jiuyu. Effect of charge rate on capacity degradation of LiFePO4 power battery at low temperature[J]. Int’l J Energ Res, 2019, 44(3):1775-1788. |
| [17] | 任东生. 锂离子动力电池全生命周期热失控机理、建模与安全管理[J]. 北京:清华大学, 2019. |
| REN Dongsheng, Thermal runaway of lithium-ion power battery during the whole life cycle: mechanism, modeling and safety mangement[D]. Beijing: Tsinghua University, 2019. (in Chinese) | |
| [18] |
Waag W, Käbitz S, Sauer D U. Experimental investigation of the lithium-ion battery impedance characteristic at various conditions and aging states and its influence on the application[J]. Appl Energ, 2013, 102:885-897.
doi: 10.1016/j.apenergy.2012.09.030 URL |
| [19] |
TANG Yiwei, JIA Ming, AI Lihua, et al. Capacity fade analysis of the lithium-ion power battery cycling process based on an electrochemical-thermal coupling model[J]. Energ Tech, 2015, 3(12):1250-1259.
doi: 10.1002/ente.201500196 URL |
| [20] |
LI Shiyou, HAN Yamin, GENG Tongtong, et al. Investigation on the temperature tolerance of LiMn2O4 in lithium-ion batteries[J]. New J Chem, 2020, 44(22):9540-9545.
doi: 10.1039/C9NJ05530D URL |
| [21] |
Fleischhammer M, Waldmann T, Bisle G, et al. Interaction of cyclic ageing at high-rate and low temperatures and safety in lithium-ion batteries[J]. J Power Sources, 2015, 274:432-439.
doi: 10.1016/j.jpowsour.2014.08.135 URL |
| [22] |
FANG Ruqing, GE Hao, WANG Ziheng, et al. A Two-Dimensional heterogeneous model of lithium-ion battery and application on designing electrode with non-uniform porosity[J]. J Electrochem Soc, 2020, 167(13):130513-130533.
doi: 10.1149/1945-7111/abb83a URL |
| [23] |
HUANG Jun, LI Zhe, Liaw B Y, et al. Graphical analysis of electrochemical impedance spectroscopy data in Bode and Nyquist representations[J]. J Power Sources, 2016, 309:82-98.
doi: 10.1016/j.jpowsour.2016.01.073 URL |
| [24] |
Meddings N, Heinrich M, Overney F, et al. Application of electrochemical impedance spectroscopy to commercial Li-ion cells: A review[J]. J Power Sources, 2020, 480:228742-228768.
doi: 10.1016/j.jpowsour.2020.228742 URL |
| [25] |
Shin E-C, Ahn P-A, Seo H-H, et al. Polarization mechanism of high temperature electrolysis in a Ni-YSZ/YSZ/LSM solid oxide cell by parametric impedance analysis[J]. Solid State Ionics, 2013, 232:80-96.
doi: 10.1016/j.ssi.2012.10.028 URL |
| [26] |
Srinivasan R, Carkhuff B G, Butler M H, et al. Instantaneous measurement of the internal temperature in lithium-ion rechargeable cells[J]. Electrochimica Acta, 2011, 56(17):6198-6204.
doi: 10.1016/j.electacta.2011.03.136 URL |
| [27] |
LI Zhe, ZHANG Jianbo, WU Bin, et al. Examining temporal and spatial variations of internal temperature in large-format laminated battery with embedded thermocouples[J]. J Power Sources, 2013, 241:536-553.
doi: 10.1016/j.jpowsour.2013.04.117 URL |
| [1] | 来鑫, 孟正, 韩雪冰, 郑岳久. 基于特征电压模型的锂离子电池容量估计与 RUL 预测[J]. 汽车安全与节能学报, 2022, 13(1): 194-201. |
| [2] | 穆道斌, 谢慧琳, 吴伯荣. 锂离子电池固体电解质的研究与进展[J]. 汽车安全与节能学报, 2020, 11(4): 415-427. |
| [3] | 徐晓明, 袁秋奇, 张扬军, 胡昊. 极耳侧加热条件下锂离子电池热失控的数值分析[J]. 汽车安全与节能学报, 2020, 11(3): 388-396. |
| [4] | 周旋, 周萍, 郑岳久, 韩雪冰, 褚政宇, 刘金海, 杨映华, 薛钢. 锂离子电池宽温度区间无析锂快充策略[J]. 汽车安全与节能学报, 2020, 11(3): 397-405. |
| [5] | 孙卫华, 徐梁飞, 胡尊严, 江宏亮, 李建秋, 欧阳明高. 质子交换膜燃料电池单片间一致性的阻抗特性 (英文) [J]. 汽车安全与节能学报, 2019, 10(4): 483-491. |
| [6] | 刘中孝,葛昊,李哲,张雅琨,张剑波. 锂离子电池低温循环老化的空间分布与特征[J]. JASE, 2019, 10(4): 502-510. |
| [7] | Gregory L. Plett. 锂离子电池荷电状态不同估算方法的综述及讨论(英文)[J]. JASE, 2019, 10(3): 249-272. |
| [8] | 王 峰,罗玉涛 . 基于电池寿命的复合储能系统参数优化及能量管理 [J]. JASE, 2019, 10(2): 211-218. |
| [9] | 田 野,宋 凯. 考虑电池特性的多模型Kalman 滤波SOC 估计[J]. JASE, 2018, 9(2): 223-230. |
| [10] | 吴正国,张剑波,李 哲,LIAW Bor Yann. 锂离子电池加速老化温度应力的滥用边界[J]. JASE, 2018, 9(01): 99-109. |
| [11] | 刘雄飞,崔彬,刘俊杰,林勇. 基于安时法的锂离子电池 SOC 估计实时校正方法[J]. JASE, 2017, 08(02): 178-182. |
| [12] | 郑岳久,许霜霜,张振东. 三元锂电池荷电状态估计的传感器误差影响[J]. JASE, 2017, 08(02): 198-204. |
| [13] | 许骏,王璐冰,刘冰河. 锂离子电池机械完整性研究现状和展望[J]. JASE, 2017, 08(01): 15-29. |
| [14] | 孙占宇. 基于电化学模型的车用锂离子电池安全快速充电算法[J]. JASE, 2017, 08(01): 97-101. |
| [15] | 张云云,白洁,张国庆. 大倍率放电时电动汽车用锂离子电池的热性能[J]. 汽车安全与节能学报, 2015, 6(01): 97-101. |
| 阅读次数 | ||||||
|
全文 |
|
|||||
|
摘要 |
|
|||||