汽车安全与节能学报 ›› 2021, Vol. 12 ›› Issue (4): 499-506.DOI: 10.3969/j.issn.1674-8484.2021.04.008
收稿日期:2021-11-08
出版日期:2021-12-31
发布日期:2022-01-10
通讯作者:
朱海涛
作者简介:* 朱海涛(1980—),男(汉),江苏,高级工程师。E-mail: zhuhaitao@catarc.ac.cn。基金资助:
SUN Zhendong(
), ZHU Haitao*(
), PENG Weiqiang
Received:2021-11-08
Online:2021-12-31
Published:2022-01-10
Contact:
ZHU Haitao
摘要:
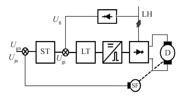
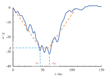
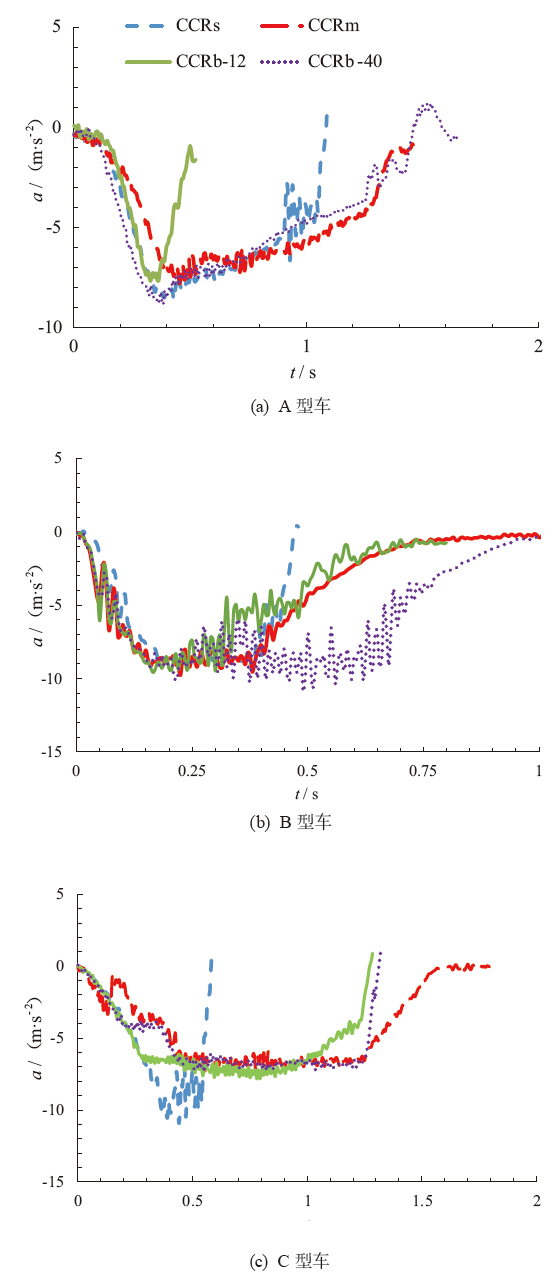
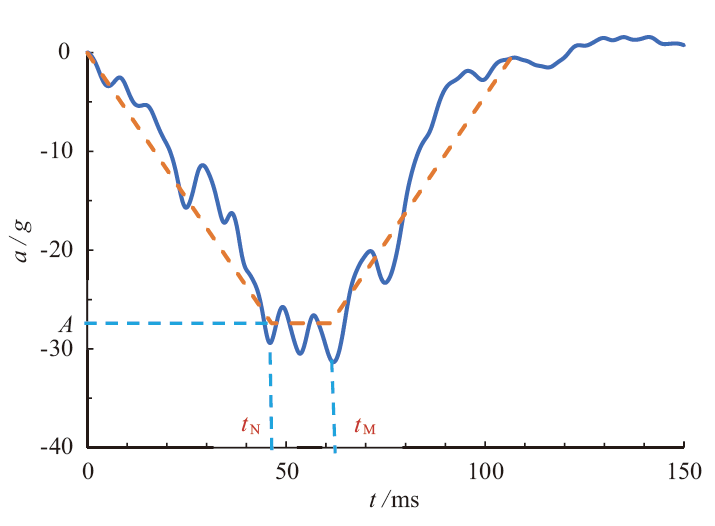
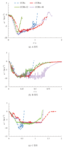
为了获得在制动紧急系统 (AEB)系统作用下THOR 50th假人姿态变化特征,论述了车辆AEB系统在前车静止(CCRs)、前车慢行(CCRm)和前车制动(CCRb)3种测试工况试验方法并获取了AEB系统近似梯形的典型制动波形,采用二项式拟合方法构建了典型波形,分析了THOR 50th假人坐姿离位特征。结果表明:当初始速度低于40 km/h时,相同初始速度下,减速度越大,THOR 50th假人头部和胸部前倾量越大;在相同制动加速度下,初始车速增大,假人头部和胸部位移增大;在初始速度为40 km/h时,AEB紧急制动造成头部和胸部离位程度最大。
中图分类号:
孙振东, 朱海涛, 彭伟强. AEB制动对THOR 50th假人乘坐姿态影响[J]. 汽车安全与节能学报, 2021, 12(4): 499-506.
SUN Zhendong, ZHU Haitao, PENG Weiqiang. Influence of AEB for THOR 50th dummy seating position[J]. Journal of Automotive Safety and Energy, 2021, 12(4): 499-506.
| [1] | 杨为, 赵胡屹, 舒红. 自动紧急制动系统行人避撞策略及仿真验证[J]. 重庆大学学报, 2019, 42(2):1-10. |
| YANG Wei, ZHAO Huyi, SHU Hong. Simulation and verification of the control strategies for AEB pedestrian collision avoidance system[J]. J Chongqing Univ, 2019, 42(2):1-10. (in Chinses) | |
| [2] | 黄福俊. 基于场景的AEB误动作分析与优化[J]. 汽车科技, 2018(6):42-49. |
| HUANG Fujun. Analysis and optimization of AEB false positive based on scenarios[J]. Auto Sci Tech, 2018(6):42-49. (in Chinses) | |
| [3] | 顾李伟, 孙涛. 不同控制策略的AEB系统在PreScan中仿真对比分析[J]. 农业装备与车辆工程, 2018, 56(10):76-79. |
| GU Liwei, SUN Tao. Simulation Comparison of AEB System with Different Control Strategies in PreScan[J]. Agri Equip Vehi Engi, 2018, 56(10):76-79. (in Chinses) | |
| [4] |
Cicchino J B. Effectiveness of forward collision warning and autonomous emergency braking systems in reducing front-to-rear crash rates[J]. Accid Anal Prevent, 2016, 99(Pt A):142.
doi: 10.1016/j.aap.2016.11.009 URL |
| [5] | Savino G, Giovannini F, Baldanzini N, et al. Assessing the potential benefits of the motorcycle autonomous emergency braking using detailed crash reconstructions[J]. J Crash Prevent Injur Contr, 2013, 14(sup1):S40-S49. |
| [6] | 刘福聚, 王鹏, 陈吉光. 基于CIDAS乘用车行人事故的AEB系统参数研究[J]. 中国汽车, 2018(9):26-29. |
| LIU Fuju, WANG Peng, CHEN Jiguang. Research on the AEB System Parameters Based on Passenger Car-Pedestrian Accidents in CIDAS[J]. China Auto, 2018(9):26-29. (in Chinses) | |
| [7] | 胡远志, 吕章洁, 刘西. 基于PreScan的AEB系统纵向避撞算法及仿真验证[J]. 汽车安全与节能学报, 2017, 8(2):136-142. |
| HU Yuanzhi, LV Zhangjie, LIU Xi. Algorithm and simulation verification of longitudinal collision avoidance for autonomous emergency break (AEB) system based on PreScan[J]. J Autom Safe Energ, 2017, 8(2):136-142. (in Chinses) | |
| [8] | Ohlin M, Strandroth J, Tingvall C. The combined effect of vehicle frontal design, speed reduction, autonomous emergency braking and helmet use in reducing real life bicycle injuries[J]. Safe Sci, 2016, 13(4):323-326. |
| [9] | 裴晓飞, 刘昭度, 马国成, 等. 汽车主动避撞系统的安全距离模型和目标检测算法[J]. 汽车安全与节能学报, 2012, 3(1):26-33. |
| PEI Xiaofei, LIU Zhaodu, MA Guocheng, et al. Research on test scenarios of automatic emergency braking system[J]. J Autom Safe Energ, 2012, 3(1):26-33. (in Chinese). | |
| [10] |
Fildes B, Keall M, Bos N, et al. Effectiveness of low speed autonomous emergency braking in real-world rear-end crashes[J]. Accid Anal Prevent, 2015, 81:24-29.
doi: 10.1016/j.aap.2015.03.029 URL |
| [11] | 欧阳志高. 可逆约束系统在正面碰撞中的乘员损伤防护效能研究[D]. 长沙:湖南大学, 2017. |
| OUYANG Zhigao. Investigation into the effectiveness of reversible restrain system for occupant injury prevention in frontal collision[D]. Changsha: Hunan University, 2017. (in Chinese) | |
| [12] | 姜岳辰, 李训猛, 李秀明. 基于某改款车辆的AEB雷达布置方法研究[J]. 汽车实用技术, 2019(8):147-150. |
| JIANG Yuechen, LI Xunmeng, LI Xiuming. Research of millimeter wave radar integration based on modified vehicle[J]. Autom Appl Tech, 2019(8):147-150. (in Chinese) | |
| [13] | 韩东鑫. 汽车AEB系统测试方法国内外研究现状分析[J]. 西部皮革, 2018, 40(8):34-35. |
| HAN Dongxin. Analysis of research status of automotive AEB system test method at home and abroad[J]. West Leather, 2018, 40(8):34-35. (in Chinese) | |
| [14] | 何仁, 冯海鹏, 自动紧急制动(AEB)技术的研究与进展[J]. 汽车安全与节能学报, 2019, 10(1):174-182. |
| HE Ren, FENG Haipeng, Research and development of autonomous emergency brake (AEB) technology[J], J Autom Safe Energ, 2019, 10(1):174-182. (in Chinese) | |
| [15] | Savino G, Mackenzie J, Allen T, et al. A robust estimation of the effects of motorcycle autonomous emergency braking (MAEB) based on in-depth crashes in Australia[J]. J Crash Prevent Injur Contr, 2016, 17(sup1):66-72. |
| [16] | 吕孟宽, 杨欣, 许述财, 等. 儿童安全座椅侧面碰撞头部保护研究[J]. 汽车工程, 2021, 43(9):1360-1366. |
| LV Mengkuan, YANG Xin, Xu Shucai, et al. Research on head protection of child on safety seat in side collision[J]. Autom Engi, 2021, 43(9):1360-1366. (in Chinese) | |
| [17] | 曹立波, 欧阳志高, 郜亢, 等. 主动预紧式安全带控制系统的实现[J]. 汽车工程, 2016, 38(11):1300-1304. |
| CAO Libo, OUYANG Zhigao, GAO Kang, et al. The implementation of control system for active pre-tensioning safety belt[J]. Autom Engi, 2016, 38(11):1300-1304. (in Chinese). | |
| [18] | 胡远志, 朱鸿旭, 曾宪菁, 等, 制动工况下主动卷收器参数对乘员离位位移影响的分析[J]. 汽车工程, 2020, 42(5):615-620. |
| HU Yuanzhi, ZHU Hongxu, Zeng xianqing, et al. An analysis on the effect of active retractor parameters on, occupant’s out-of-position displacement under braking condition[J]. Autom Engi, 2020, 42(5):615-620. (in Chinese) | |
| [19] | 吴俊, 宋志强, 曹立波, 等, 集成主动预紧式安全带的乘员可接受度与优化措施[J]. 汽车安全与节能学报, 2018, 9(4):379-385. |
| WU Jun, SONG Zhiqiang, Caolibo , et al. Occupant acceptability and its optimization for the integrated active pre-tensioning seatbelt[J]. J Autom Safe Energ, 2018, 9(4):379-385. (in Chinese) | |
| [20] | 贾小勇, 徐传胜, 白欣 等, 最小二乘法的创立及其思想方法[J]. 西北工大学, 2006, 36(3):507-511. |
| JIA Xiaoyong, XU Chuansheng, Baixin , et al. Establishment of least square method and its thinking method[J]. J Northwest Univ Tech 2006, 36(3):507-511. (in Chinese) |
| [1] | 李海岩, 李广明, 贺丽娟, 冉令华, 吕文乐, 崔世海, 阮世捷. 汽车追尾碰撞中颈部姿态对生物力学响应的影响[J]. 汽车安全与节能学报, 2022, 13(1): 55-62. |
| [2] | 龙永程, 郝海舟, 李凡, 费敬. 行人安全测试现行腿型冲击器的生物逼真度[J]. 汽车安全与节能学报, 2021, 12(4): 475-482. |
| [3] | 徐洪震, 王方, 胡林, 王振, 李凡. 基于事故重建的行人与骑车人头部损伤的差异性[J]. 汽车安全与节能学报, 2021, 12(4): 483-489. |
| [4] | 王宝琳, 夏怀成, 董倩倩. 车辆转弯工况下间接式胎压监测系统脉冲数的修正[J]. 汽车安全与节能学报, 2021, 12(4): 507-515. |
| [5] | 边疆, 王晓颖, 桂良进, 范子杰. 双金属鼓式制动器高温工况的试验与仿真[J]. 汽车安全与节能学报, 2021, 12(2): 173-179. |
| [6] | 李学鋆, 章菊. 考虑路面附着系数和车速的 AFS 可变传动比设计[J]. 汽车安全与节能学报, 2020, 11(3): 329-336. |
| [7] | 吴玉宝,牛卫中,雷云涛. 两辆 SUV 乘用车侧碰耐撞性最差工况的判定[J]. JASE, 2020, 11(1): 79-85. |
| [8] | 黄 杰, 刘 西, 胡远志, 等. 充气式安全带对后排女性乘员的保护效果[J]. 汽车安全与节能学报, 2019, 10(1): 74-81. |
| [9] | 林云成,宋家锋,刘升福,等. 基于竹节结构的保险杠横梁仿生优化及仿真分析[J]. JASE, 2018, 9(4): 410-417. |
| [10] | 荣 芩,吴晓东,许 敏. 基于ISO 标准的道路车辆线控转向系统的功能安全概念设计[J]. JASE, 2018, 9(3): 250-257. |
| [11] | 肖辉鹏,陈 涛,段利斌,等. 基于计算机参数反求的汽车轮胎有限元建模与仿真[J]. JASE, 2018, 9(3): 258-264. |
| [12] | 李卫兵,吴 琼,王翔宇,等. 对开路面汽车紧急制动的稳定性控制[J]. JASE, 2018, 9(3): 272-280. |
| [13] | 张瑞雨,马春生,许述财,等. 有质量差异的两车碰撞时车辆前端刚度的相容性匹配[J]. JASE, 2018, 9(3): 295-302. |
| [14] | 屈 贤,余 烽,赵 悦. 基于熵权灰色关联和 D-S 证据理论的疲劳驾驶险态辨识[J]. JASE, 2018, 9(2): 164-170. |
| [15] | 赵树恩,张 雄. 基于差动制动的车辆侧翻稳定性控制的数字仿真[J]. JASE, 2018, 9(2): 171-177. |
| 阅读次数 | ||||||
|
全文 |
|
|||||
|
摘要 |
|
|||||