Welcome to Journal of Automotive Safety and Energy,

Journal of Automotive Safety and Energy ›› 2021, Vol. 12 ›› Issue (3): 410-416.DOI: 10.3969/j.issn.1674-8484.2021.03.017

• Automotive Energy Efficiency and Environment Protection • Previous Articles    

Optical diagnostics of charge stratification compression ignition in high compression ratio gasoline engine

ZHANG Zhiyong1,2(), GAO Dingwei1,2, LAI Haipeng1,2, ZHANG Bin1,2, XING Huafeng1,2   

  1. 1. Great Wall Motor Co. Ltd., Baoding 071000, China
    2. Hebei Automotive Engineering Technical Center (under preparation), Baoding 071000, China
  • Received:2021-04-03 Online:2021-09-30 Published:2021-10-09

Abstract:

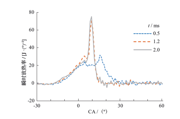
An optical diagnostic on charge stratification compression ignition was used to investigate the influences of gasoline direct injection (GDI) duration, timing and rail pressure to charge stratification compression ignition. Based on a single-cylinder optical engine with port injection method to inform pre-mixture and direct injection fuel to induce ignition, some experiments were developed under the conditions at different GDI duration of 0.5, 1.2, and 2 ms, with different timing at crank angles (before top dead center) of 40°, 50°, 60°, 80°, and 100°, and with different rail pressure of 3.8, 10, 15 MPa. The results show that charge stratification compression ignition is realized by adopting high compression ratio, normal valve timing, port injection to inform pre-mixture and direct injection fuel to induce ignition. Success chance of compression combustion is increased, combustion stability is improved, and the emission of soot is reduced by reasonable calibration to GDI duration, timing and rail pressure.

Key words: gasoline engine, charge stratification compression ignition, high compression ratio, optical diagnostics

CLC Number: