欢迎访问《汽车安全与节能学报》,

汽车安全与节能学报 ›› 2024, Vol. 15 ›› Issue (3): 402-412.DOI: 10.3969/j.issn.1674-8484.2024.03.014

• 智能驾驶与智慧交通 • 上一篇    下一篇

双端通信时延下网联车辆纵向队列的分布式控制器设计与分析

王靖瑶1,2(), 黄江山1, 郭景华1,2, 李克强2   

  1. 1.厦门大学 航空航天学院,厦门361005,中国
    2.清华大学, 智能绿色车辆与交通全国重点实验室(原汽车安全与节能国家重点实验室),北京 100084,中国
  • 收稿日期:2023-10-31 修回日期:2023-12-21 出版日期:2024-06-30 发布日期:2024-07-01
  • 作者简介:王靖瑶(1988—),女(汉),河北,副教授。E-mail:wangjingyao1@xmu.edu.cn
  • 基金资助:
    汽车安全与节能国家重点实验室开放基金资助项目(KFY2206)

Design and analysis of distributed controller for longitudinal platoon of networked vehicles under the bidirectional communication delay

WANG Jingyao1,2(), HUANG Jiangshan1, GUO Jinghua1,2, LI Keqiang2   

  1. 1. School of Aerospace Engineering, Xiamen University, Xiamen 361005, China
    2. State Key Laboratory of Intelligent Green Vehicle and Mobility (Former: State Key Laboratory of Automotive Safety and Energy), Tsinghua University, Beijing 100084, China
  • Received:2023-10-31 Revised:2023-12-21 Online:2024-06-30 Published:2024-07-01

摘要:

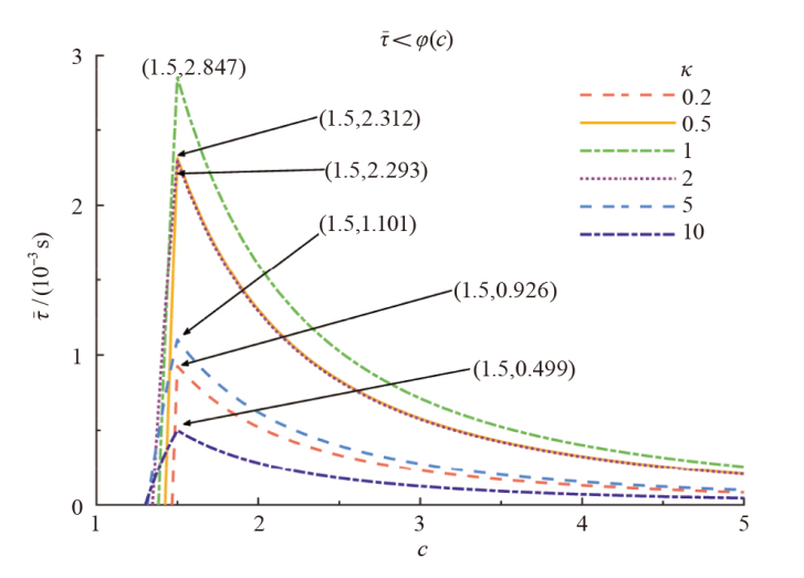
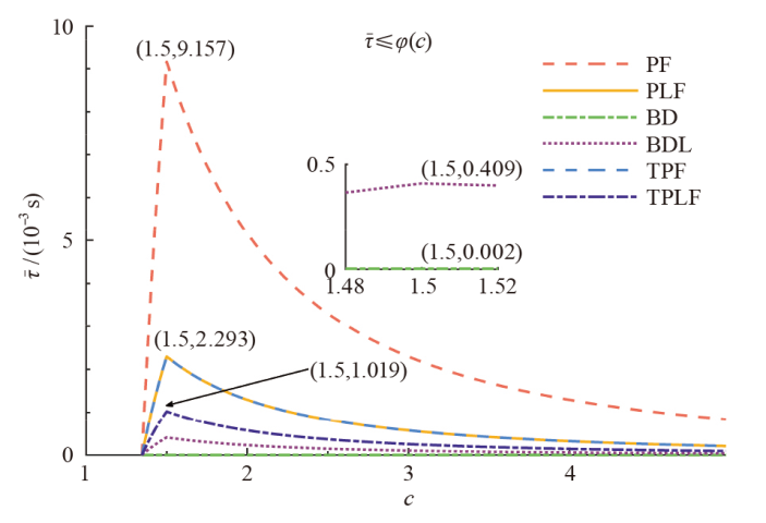
网联车辆队列系统的双端通信时延会极大影响队列的控制性能,而且在极端情况下,甚至可能引发队列失稳、发生碰撞的现象。该文在充分考虑车云双端通信时延的基础上,提出了一种基于云的分布式控制算法。通过一定假设,对云控场景下的车辆队列使用采样控制系统的方法进行建模,将双端通信时延进行统一;使用Riccati不等式设计了状态反馈分布式控制器,使用Lyapunov-Razumikin定理分析了控制算法的渐近稳定性,进而得到时变时延上界与通信拓扑、耦合增益之间的关系。结果表明:存在一个合适的耦合增益使得所能容忍的时延上界最大,且通信拓扑Laplacian矩阵最大与最小特征值的比值与时延上界大小呈负相关的趋势。

关键词: 云控制系统, 网联车辆队列, 时变时延, 双端通信时延

Abstract:

The bidirectional communication delay in connected vehicle platoon systems can significantly impact the control performance of the platoon. In extreme cases, it may even result in instability or collisions. A cloud-based distributed control algorithm was proposed, fully considering the bidirectional communication delay between vehicles and the cloud. Under certain assumptions, the vehicle platoon under cloud control was modeled with sampled control system methods, leading to the unification of bidirectional communication delay. A state feedback distributed controller was designed using the Riccati inequality, and the Lyapunov-Razumikhin theorem was utilized to analyze the asymptotic stability of the control algorithm, establishing the relationship between the upper bound of time-varying delay and the communication topology and coupling gain. The results show that the existence of an optimal coupling gain maximizes the tolerated upper bound of delay, and the ratio of the maximum to minimum eigenvalues of the Laplacian matrix of the communication topology is negatively correlated with the upper bound.

Key words: cloud control system, vehicle platoon, time-varying delay, bidirectional communication delay

中图分类号: