欢迎访问《汽车安全与节能学报》,

汽车安全与节能学报 ›› 2024, Vol. 15 ›› Issue (1): 83-91.DOI: 10.3969/j.issn.1674-8484.2024.01.009

• 汽车节能与环保 • 上一篇    下一篇

热辐射触发锂离子电池热失效行为及其射流热特性

李涵1(), 王炎1,2,*(), 张西龙1, 王贺武2, 李亚伦2, 卢兰光2   

  1. 1.青岛理工大学 机械与汽车工程学院,青岛266520,中国
    2.清华大学,智能绿色车辆与交通全国重点实验室(原汽车安全与节能国家重点实验室), 北京100080,中国
  • 收稿日期:2023-06-07 修回日期:2023-10-17 出版日期:2024-02-29 发布日期:2024-02-29
  • 通讯作者: *王炎,副教授。E-mail:wangyan2387@163.com
  • 作者简介:李涵(1999—),男(汉),山东,硕士研究生。E-mail:lh057139@163.com
  • 基金资助:
    国家自然科学基金青年基金项目(52207240);汽车安全与节能国家重点实验室开放基金(KFY2221);山东省自然科学基金青年项目(ZR2022QE099);广东省粤港澳联合基金(2021B51530008)

Thermal failure behaviors and the heat efflux characteristics of Li-ion batteries triggered by thermal radiation

LI Han1(), WANG Yan1,2,*(), ZHANG Xilong1, WANG Hewu2, LI Yalun2, LU Languang2   

  1. 1. School of Mechanical and Automotive Engineering, Qingdao University of Technology, Qingdao 266520, China
    2. State Key Laboratory of Intelligent Green Vehicle and Mobility (Former: State Key Laboratory of Automotive Safety and Energy), Tsinghua University, Beijing 100084, China
  • Received:2023-06-07 Revised:2023-10-17 Online:2024-02-29 Published:2024-02-29

摘要:

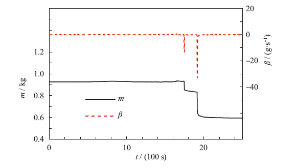
实验研究了辐射加热器非接触式触发动力锂离子电池热失效过程中的温度特性、质量损失、产热行为变化等特性及其空间射流温度与热流分布特性。以50 Ah 的Li(Ni0.6Co0.2Mn0.2) O2电池为对象,基于锂离子电池燃烧实验平台进行。结果表明:电池热失控实验过程中发生了2次喷发现象,电池表面最高温度为489.2 °C;最高温升速率为27.7 K · s-1;最大质量损失速率为32.7 g · s-1;电池本体总产热量为1.05 MJ;环境最高温度为705.3 °C;烟气总释放热为6.56 MJ · m-2;射流空间环境最高温度比电池表面最高温度高。这表明,高温高速的易燃气体会加剧热失控危害的风险。本结果有助于电池失效初期预警、热失控抑制、火灾风险控制。

关键词: 新能源汽车, 锂离子电池, 热失控, 热辐射, 射流热特性, 实验研究

Abstract:

This paper experimentally investigated the temperature characteristics, the mass loss, the change characteristics of heat production behaviors, the spatial efflux temperature and heat flow distribution characteristics for non-contact trigger power lithium-ion batteries of radiant heater during thermal failure. Batteries of 50 Ah Li(Ni0.6Co0.2Mn0.2)O2 were taken as the research object to carry out relevant tests based on a lithium-ion battery combustion experiment platform. The results show that 2 eruptions occurred during the battery thermal runaway experiment; The battery surface maximum temperature is 489.2 °C; the highest average temperature rise rate is 27.7 K·s-1; the maximum mass loss rate is 32.7 g·s-1; the battery body total heat release is 1.05 MJ; the highest ambient temperature is 705.3 °C, the flue gas total heat release is 6.56 MJ·m-2, and the maximum ambient temperature of efflux space is higher than the maximum temperature of battery surface. These mean that the flammable gas with high temperature and high-speed aggravate the risk of thermal runaway. These results have significances for the early warning of battery failure, the thermal runaway suppression, and the fire risk control.

Key words: new energy vehicles, lithium-ion batteries, thermal runaway, heat radiation, heat efflux characteristics

中图分类号: