汽车安全与节能学报 ›› 2022, Vol. 13 ›› Issue (3): 550-559.DOI: 10.3969/j.issn.1674-8484.2022.03.017
收稿日期:2022-03-01
修回日期:2022-04-27
出版日期:2022-09-30
发布日期:2022-10-04
通讯作者:
韩志玉
作者简介:* 韩志玉,教授。E-mail: hanzhiyu@tongji.edu.cn。基金资助:
LI Minqing(
), FENG Jian, HAN Zhiyu(
)
Received:2022-03-01
Revised:2022-04-27
Online:2022-09-30
Published:2022-10-04
Contact:
HAN Zhiyu
摘要:
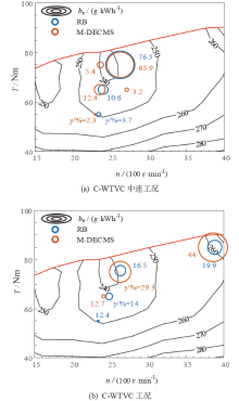
为确定在串联式动力系统策略和增程式动力系统策略下的最优油耗和二氧化碳排放,以一辆日均行驶150 km、满载质量4.5 t的轻型商用厢式卡车为对象,对动力性、油耗及使用阶段的二氧化碳排放量进行了仿真。考虑比较的公平性和实用性,应用了规则式策略(RB)和动态等效燃油消耗最小策略(DECMS)。提出了改进的混合型能量管理策略(M-DECMS)。结果表明:在中国—全球瞬态整车循环(C-WTVC)工况下,对于1.2 L和1.5 L 两种量产发动机,相较于串联式电动汽车(SHEV),增程式电动汽车(REEV)平均可以降低30.1%的燃油消耗和16.65%的二氧化碳排放。因而,相较于串联式动力系统,增程式有助于降低燃油消耗和驾驶阶段二氧化碳排放。
中图分类号:
李敏清, 冯坚, 韩志玉. 串联式和增程式混合动力轻型商用车的性能对比[J]. 汽车安全与节能学报, 2022, 13(3): 550-559.
LI Minqing, FENG Jian, HAN Zhiyu. Performance comparation of the series type and the range-extender type of the hybrid light commercial vehicles[J]. Journal of Automotive Safety and Energy, 2022, 13(3): 550-559.
| 增程式 | 串联式 | ||
|---|---|---|---|
| 发动机 | 排量/L | 1.2 | 1.5 |
| 额定功率①/ kW | 39.5 | 50.0 | |
| 额定扭矩①/ Nm | 93.8 | 119.3 | |
| 最低油耗/ (g·kWh-1) | 238② | 212③ | |
| 启动发电一 体机(ISG) | 额定功率/ kW | 40 | 48 |
| 峰值功率/ kW | 80 | 96 | |
| 峰值扭矩/ Nm | 240 | 300 | |
| 驱动电机 (TM) | 额定功率/ kW | 60 | 60 |
| 峰值功率/ kW | 120 | 120 | |
| 峰值扭矩/ Nm | 320 | 320 | |
| 电池组 | 类型 | 磷酸铁锂 | 三元锂 |
| 容量/ Ah | 60 | 6.2 | |
| 能量/ kWh | 19.96 | 2.17 | |
| 标称电压/ V | 332.8 | 350 | |
| 放电倍率/ C | 2④ | 54⑤ | |
| 充电倍率/ C | 2④ | 33⑤ |
| 增程式 | 串联式 | ||
|---|---|---|---|
| 发动机 | 排量/L | 1.2 | 1.5 |
| 额定功率①/ kW | 39.5 | 50.0 | |
| 额定扭矩①/ Nm | 93.8 | 119.3 | |
| 最低油耗/ (g·kWh-1) | 238② | 212③ | |
| 启动发电一 体机(ISG) | 额定功率/ kW | 40 | 48 |
| 峰值功率/ kW | 80 | 96 | |
| 峰值扭矩/ Nm | 240 | 300 | |
| 驱动电机 (TM) | 额定功率/ kW | 60 | 60 |
| 峰值功率/ kW | 120 | 120 | |
| 峰值扭矩/ Nm | 320 | 320 | |
| 电池组 | 类型 | 磷酸铁锂 | 三元锂 |
| 容量/ Ah | 60 | 6.2 | |
| 能量/ kWh | 19.96 | 2.17 | |
| 标称电压/ V | 332.8 | 350 | |
| 放电倍率/ C | 2④ | 54⑤ | |
| 充电倍率/ C | 2④ | 33⑤ |
| 工况 | 100 km油耗/ L | 差异 / % | |
|---|---|---|---|
| RB | M-DECMS | ||
| C-WTVC 低速 | 10.69 | 10.58 | -1.0 |
| C-WTVC 中速 | 11.11 | 10.97 | -1.3 |
| C-WTVC | 14.31 | 14.34 | 0.2 |
| 实际路谱 | 11.75 | 11.8 | 0.4 |
| 工况 | 100 km油耗/ L | 差异 / % | |
|---|---|---|---|
| RB | M-DECMS | ||
| C-WTVC 低速 | 10.69 | 10.58 | -1.0 |
| C-WTVC 中速 | 11.11 | 10.97 | -1.3 |
| C-WTVC | 14.31 | 14.34 | 0.2 |
| 实际路谱 | 11.75 | 11.8 | 0.4 |
| 最高车速①/ (km·h-1) | 爬坡度②/ % | 加速时间③/ s | |
|---|---|---|---|
| 动力性要求 | ≥80 | ≥25 | - |
| REEV 1.2 L | 82 | 31 | 6.45 |
| SHEV 1.2 L | 82 | 31 | 5.95 |
| REEV 1.5 L | 89.5 | 31 | 6.50 |
| SHEV 1.5 L | 89.5 | 31 | 6.00 |
| 最高车速①/ (km·h-1) | 爬坡度②/ % | 加速时间③/ s | |
|---|---|---|---|
| 动力性要求 | ≥80 | ≥25 | - |
| REEV 1.2 L | 82 | 31 | 6.45 |
| SHEV 1.2 L | 82 | 31 | 5.95 |
| REEV 1.5 L | 89.5 | 31 | 6.50 |
| SHEV 1.5 L | 89.5 | 31 | 6.00 |
| [1] | 中国汽车工程学会. 节能与新能源汽车技术路线图2.0[M]. 北京: 机械工业出版社, 2021. |
| Chine Society of Automotive Engineers. Technology roadmap for energy-saving and new energy vehicles 2.0[M]. Beijing: China Machine Press, 2021. (in Chinese) | |
| [2] | 吴志军, 陈永龙, 邓俊, 等. 插电式串联混合动力汽车的经济性与排放性[J]. 吉林大学学报(工学版), 2011, 41(06): 549-553. |
| WU Zhijun, CHEN Yonglong, DENG Jun, et al. Fuel economy and emissions from series plug-in hybrid electric vehicle[J]. J Jilin Univ (Eng Tech Ed), 2011, 41(06): 549-553. (in Chinese) | |
| [3] | Jin Liqiang, Zeng Xiahua, Wei Wang. The control strategy and cost analysis for series Plug-in hybrid electric vehicle[C]// 2nd Int’l Conf Adv Compu Contr, Shenyang, China, IEEE. 2010: 350-354. |
| [4] | Fajri P, Asaei B. Plug-in hybrid conversion of a series hybrid electric vehicle and simulation comparison[C]// 2008 11th Int’l Conf Opti Electrical Electronic Equi, Brasov, Romania, IEEE. 2008: 287-292. |
| [5] | WEI Changyin, SUN Xiuxiu, CHEN Yong, et al. Comparison of architecture and adaptive energy management strategy for plug-in hybrid electric logistics vehicle[J]. Energy, 2021, 230: Paper No 120858. |
| [6] |
Hoshing V, Vora A, Saha T, et al. Comparison of economic viability of series and parallel PHEVs for medium-duty truck and transit bus applications[J]. Proc Inst Mech Eng Part D J Auto Engineering, 2020, 234(10-11): 2458-2472.
doi: 10.1177/0954407020919255 URL |
| [7] | Vincent F, Eric F, Aymeric R. Comparison of powertrain configuration for plug-in HEVs from a fuel economy perspective[J]. SAE Int’l J Engines, 2009, 1(1): 392-398. |
| [8] |
YANG Yalian, HU Xiaosong, PEI Huanxin, et al. Comparison of power-split and parallel hybrid powertrain architectures with a single electric machine: Dynamic programming approach[J]. Appl Energy, 2016, 168: 683-90.
doi: 10.1016/j.apenergy.2016.02.023 URL |
| [9] | FENG Jian, HAN Zhiyu, WU Zhenkuo, et al. A dynamic ECMS method considering vehicle speed pattern and minimum engine operation time for a range-extender electric vehicle[J]. IEEE Trans Vehi Tech, 2022, 71(5): 4788-4800. |
| [10] |
Shabbir W, Evangelou S A. Real-time control strategy to maximize hybrid electric vehicle powertrain efficiency[J]. Appl Energy, 2014, 135: 512-522.
doi: 10.1016/j.apenergy.2014.08.083 URL |
| [11] | Tulpule P, Marano V, Rizzoni G. Effects of different PHEV control strategies on vehicle performance[C]// 2009 Ame Cont Conf, St. Louis, MO, USA. 2009: 3950-3955. |
| [12] | Markel T, Simpson A. Energy storage systems considerations for grid-charged hybrid electric vehicles[C]// 2005 IEEE Vehi Powe Propulsion Conf, Chicago, Illinois, USA. 2005: 344-349. |
| [13] | Dreier D, Silveira S, Khatiwada D, et al. Well-to-Wheel analysis of fossil energy use and greenhouse gas emissions for conventional, hybrid-electric and plug-in hybrid-electric city buses in the BRT system in Curitiba, Brazil[J]. Transp Res Part D: Transp Envi, 2018, 58: 122-138. |
| [14] | HAN Sungbin, CHANG Yonghoon, CHUNG Yonjong, et al. Fuel economy comparison of conventional drive trains series and parallel hybrid electric step vans[J]. Int’l J Auto Tech, 2009, 10(2): 235-240. |
| [15] |
Johnson V. Battery performance models in ADVISOR[J]. J Power Sources, 2002, 110(2): 321-329.
doi: 10.1016/S0378-7753(02)00194-5 URL |
| [16] | Onori S, Serrao L, Rizzoni G. Hybrid electric vehicles: Energy management strategies[J]. Encyclopedia of Energy, 2016, 277(4): 197-213. |
| [17] | Serrao L, Onori S, Rizzoni G. ECMS as a realization of Pontryagin’s minimum principle for HEV control[C]// 2009 Ame Con Conf, St. Louis, MO, USA. 2009: 3964-3969. |
| [18] |
KIM Namwook, CHA Sukwon, PENG Huei. Optimal control of hybrid electric vehicles based on Pontryagin’s minimum principle[J]. IEEE Trans Contr Syst Tech, 2010, 19(5): 1279-1287.
doi: 10.1109/TCST.2010.2061232 URL |
| [19] | 彭美春, 廖清睿, 曾隆隆, 等. 道路营运新能源汽车减碳测算[J]. 广东工业大学学报, 2020, 37(2): 39-44. |
| PENG Meichun, LIAO Qingrui, ZENG Longlong, et al. Calculation of carbon reduction for new energy vehicles in road transportation[J]. J Guangdong Univ Tech, 2020, 37(2): 39-44. (in Chinese) | |
| [20] | 中国电力企业联合会. 中国电力统计年鉴[M]. 北京: 中国统计出版社, 2021: 9.. |
| China Electricity Council. China Electric Power Statistical Yearbook[M]. Beijing: China Statistics Press, 2021: 9. (in Chinese) | |
| [21] | 生态环境部. 企业温室气体排放核算方法与报告指南发电设施(2021年修订版)(征求意见稿) [EB/OL]. (2021-12-02). http://www.mee.gov.cn/xxgk2018/xxgk/xxgk06/202112/W020211202787049808223.pdf. |
| Ministry of Ecology and Environment of the People’s Republic of China. Guidelines for accounting methods and reporting of greenhouse gas emissions of enterprises power generation facilities (Rev in 2021) (Draft) [EB/OL]. (2021-12-02). http://www.mee.gov.cn/xxgk2018/xxgk/xxgk06/202112/W020211202787049808223.pdf. (in Chinese) | |
| [22] | 屈鹏程, 李嘉诚. PHEV能量管理策略和电池配置多参数协同优化[J]. 汽车实用技术, 2021, 46(23): 51-53. |
| QU Pengcheng, LI Jiacheng. Multi parameter collaborative optimization of PHEV energy management strategy and battery configuration[J]. Auto Appl Tech, 2021, 46(23): 51-53. (in Chinese) |
| [1] | 周泉, 张策腾飞, 李雁飞, 帅斌, 徐宏明. 基于数字孪生和PSO算法的混动车辆能量管理策略鲁棒优化[J]. 汽车安全与节能学报, 2022, 13(3): 517-525. |
| [2] | 宋波, 孙凯, 车志钊, 陈锐, 刘怀宇, 任美林, 王天友. 能量管理策略对燃料电池客车热管理系统性能的影响[J]. 汽车安全与节能学报, 2022, 13(3): 526-534. |
| [3] | 杨超, 杜雪龙, 王伟达, 项昌乐. 智能网联环境下的PHEV实时优化能量管理策略研究[J]. 汽车安全与节能学报, 2021, 12(2): 210-218. |
| [4] | 刘建辉, 姚方方, 张彦. 混合动力汽车参数的交叉—变异蜂群算法优化[J]. 汽车安全与节能学报, 2021, 12(2): 186-192. |
| [5] | 王煜安, 罗佳鑫, 王亚超, 王欣, 葛蕴珊, 蒋震. 不同能量管理策略的增程电动汽车排放的实际道路试验[J]. 汽车安全与节能学报, 2021, 12(2): 219-225. |
| [6] | 童盛稳, 陈韬, 谢辉. 系统综合效率优化的插电式混合动力车辆的能量管理策略[J]. 汽车安全与节能学报, 2021, 12(1): 91-99. |
| [7] | 庞涵泽, 王立, 袁一卿 . 基于 DP 算法的新双模 PHEV 系统能量管理策略 [J]. 汽车安全与节能学报, 2020, 11(2): 227-235. |
| [8] | 宋雯, 张欣, 田毅, 席利贺. 基于运行工况识别及充电管理的E-REV 智能控制策略[J]. 汽车安全与节能学报, 2016, 07(02): 224-229. |
| [9] | 周云山,杨豪杰. 考虑电驱动系统成本的混合动力汽车参数综合优化[J]. 汽车安全与节能学报, 2015, 6(03): 265-271. |
| [10] | 周云山,周美,张军. 插电式混合动力轿车的能量管理策略与仿真[J]. 汽车安全与节能学报, 2014, 5(02): 185-191. |
| 阅读次数 | ||||||
|
全文 |
|
|||||
|
摘要 |
|
|||||