欢迎访问《汽车安全与节能学报》,

汽车安全与节能学报 ›› 2025, Vol. 16 ›› Issue (1): 77-85.DOI: 10.3969/j.issn.1674-8484.2025.01.008

• 汽车安全 • 上一篇    下一篇

不同侧风条件下超高速行驶车辆的气动特性

何永明(), 赵利元, 王繁   

  1. 东北林业大学 土木与交通学院,哈尔滨 150040,中国
  • 收稿日期:2024-05-14 修回日期:2024-07-09 出版日期:2025-02-28 发布日期:2025-03-04
  • 作者简介:何永明(1979—),男(汉),湖北,副教授。E-mail:hymjob@nefu.edu.cn
  • 基金资助:
    黑龙江省自然科学基金项目(LH2023E011)

Aerodynamic characteristics of superhigh speed vehicles under different crosswind conditions superhighways

HE Yongming(), ZHAO Liyuan, WANG Fan   

  1. School of Traffic and Transportation, Northeast Forestry University, Harbin 150040, China
  • Received:2024-05-14 Revised:2024-07-09 Online:2025-02-28 Published:2025-03-04

摘要:

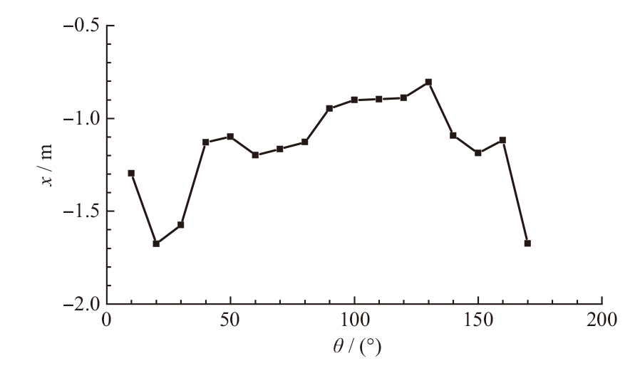
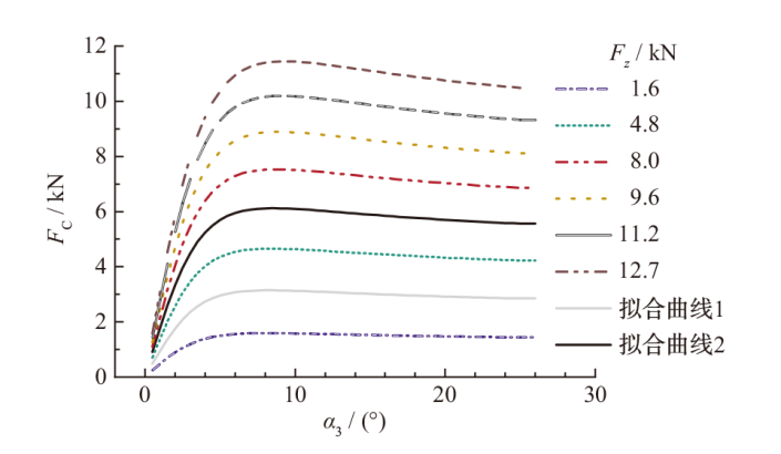
为了研究车辆气动特性对在公路上超高速(超过120 km/h)行驶安全的影响,该文搭建静态模型与动态模型,模拟车辆的超高速行驶工况,分析车辆在侧风环境下的行驶稳定性。利用汽车风洞实验仿真软件,分析车辆在弯道与直线路段上的受力情况,计算安全车速阈值。根据仿真结果对动态模型进行参数标定,并模拟汽车在侧风影响下的行驶轨迹,建立安全评价模型。结果表明:侧风为4级、6级和8级时,安全行驶车速分别为132、111、81 km/h。因此,环境侧风在5级及以下时,可以保证超高速行驶的安全性。

关键词: 交通安全, 安全行驶速度, 超高速行驶, 侧风环境, 气动力, 安全评价模型

Abstract:

The influence of vehicle aerodynamic characteristics on superhigh speed driving safety was investigated. Static and dynamic models were built to simulate superhigh speed driving conditions of vehicles to analyze the driving stability of vehicles in crosswind environment. The automobile wind tunnel experiment simulation was used to analyze the stress of the vehicle on the curve road section and the straight road section, and to calculate the safe speed threshold. The parameters of the dynamic model were calibrated according to the simulation results. The driving trajectory of the vehicle under the influence of crosswind was simulated; A safety evaluation model was established. The results show that the safe driving speeds are 132, 111, and 81 km/h when the crosswind are the level 4, the level 6, and the level 8 respectively. Therefore, the safety of superhigh speed driving can be guaranteed when the crosswind is at or below level 5.

Key words: traffic safety, safe driving speed superhigh driving, crosswind environment, aerodynamic force, safety evaluation model

中图分类号: