欢迎访问《汽车安全与节能学报》,

汽车安全与节能学报 ›› 2022, Vol. 13 ›› Issue (2): 300-308.DOI: 10.3969/j.issn.1674-8484.2022.02.010

• 汽车安全 • 上一篇    下一篇

基于ESHB系统的自适应自动紧急制动控制策略

雍加望1,2(), 李岩松3, 冯能莲3, 刘亚辉2   

  1. 1.交通工程北京市重点实验室(北京工业大学),北京工业大学 城市建设学部,北京 100124,中国
    2.汽车安全与节能国家重点实验室(清华大学),北京 100084,中国
    3.北京工业大学 环境与生命学部,北京 100124,中国
  • 收稿日期:2021-10-01 修回日期:2022-02-16 出版日期:2022-06-30 发布日期:2022-07-01
  • 作者简介:雍加望(1988—),男(汉),安徽,讲师。E-mail: yongjw@bjut.edu.cn
  • 基金资助:
    汽车安全与节能国家重点实验室开放基金课题(KF2010);北京市自然科学基金面上项目(3222003);国家自然科学基金青年项目(52002009)

Adaptive automatic emergency braking control strategy based on an ESHB system

YONG Jiawang1,2(), LI Yansong3, FENG Nenglian3, LIU Yahui2   

  1. 1. Beijing Key Laboratory of Traffic Engineering(Beijing University of Technology); Faculty of Architecture, Civil and Transportation Engineering, Beijing University of Technology, Beijing 100124, China
    2. The State Key Laboratory of Automotive Safety and Energy (Tsinghua University), Beijing 100084, China
    3. Faculty of Environment and Life, Beijing University of Technology, Beijing 100124, China
  • Received:2021-10-01 Revised:2022-02-16 Online:2022-06-30 Published:2022-07-01

摘要:

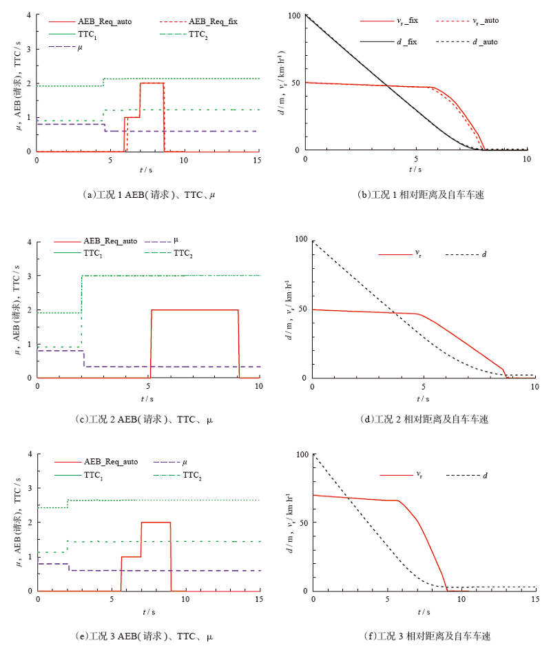
为降低汽车碰撞风险,提升安全性与舒适性,提出一种基于电动伺服液压制动(ESHB)系统的自适应自动紧急制动(AEB)的分层控制策略。考虑了路面附着因数和车辆行驶状态,构建车辆模型、轮胎模型及路面峰值附着因数观测器;进行台架测试和实车实验。结果表明:路面附着因数观测稳态误差小于3%;制动压力跟随稳态误差小于100 kPa;在相对车速70 km/h以内实现有效避撞;在兼备舒适性前提下,相较于固定即碰时间(TTC)阈值的多级制动控制策略,本策略的一级和二级制动请求分别提前了0.2 s和0.1 s。因此,本策略能适应路面附着条件的变化,实现避撞控制。

关键词: 汽车安全, 自动紧急制动(AEB), 电动伺服液压制动(ESHB), 路面附着因数, 多级制动

Abstract:

An adaptive-hierarchical automatic-emergency-braking (AEB) control-strategy was proposed based on the electro-servo hydraulic braking (ESHB) system to reduce the vehicle collision risk and improve vehicle safety and comfort. A vehicle model, a tire model and a road peak adhesion coefficient observer were built considering road adhesion coefficient and vehicle driving state, experiments were carried out on test bench and vehicle. The results show that the steady-state error of the road adhesion coefficient observation is less than 3 %; the steady-state tracking error of the braking pressure is less than 100 kPa; the proposed strategy avoids collision effectively within a speed of 70 km/h; in addition to comfortable, compared with the multi-level braking control-strategy with a fixed time to collision (TTC) threshold, the primary and secondary braking requests of the proposed strategy are advanced by 0.2 s and 0.1 s, respectively. Therefore, the proposed strategy could realize collision avoidance control considering adhesion condition variation.

Key words: vehicle safety, automatic emergency braking (AEB), electro-servo hydraulic braking (ESHB), road adhesion coefficient, multi-level braking

中图分类号: