欢迎访问《汽车安全与节能学报》,

汽车安全与节能学报 ›› 2021, Vol. 12 ›› Issue (4): 475-482.DOI: 10.3969/j.issn.1674-8484.2021.04.005

• 汽车安全 • 上一篇    下一篇

行人安全测试现行腿型冲击器的生物逼真度

龙永程1,2(), 郝海舟1,2, 李凡3, 费敬1,2   

  1. 1.汽车振动噪声和安全技术国家重点实验室,重庆 401122,中国
    2.中国汽车工程研究院股份有限公司, 重庆 401122,中国
    3.湖南大学,长沙 410082,中国
  • 收稿日期:2021-04-13 出版日期:2021-12-31 发布日期:2022-01-10
  • 作者简介:龙永程(1991—),男(汉),湖南,工程师。E-mail: longyongcheng@caeri.com
  • 基金资助:
    汽车噪声振动和安全技术国家重点实验室自设课题(NVHSKL-ZS-202102)

Biofidelity of current legform impactor in pedestrian safety test

LONG Yongcheng1,2(), HAO Haizhou1,2, LI Fan3, FEI Jing1,2   

  1. 1. State Key Laboratory of Vehicle NVH and Safety Technology, Chongqing 401122, China
    2. China Automotive Engineering Research Institute Co., Ltd, Chongqing 401122, China
    3. Hunan University, Changsha 410082, China
  • Received:2021-04-13 Online:2021-12-31 Published:2022-01-10

摘要:

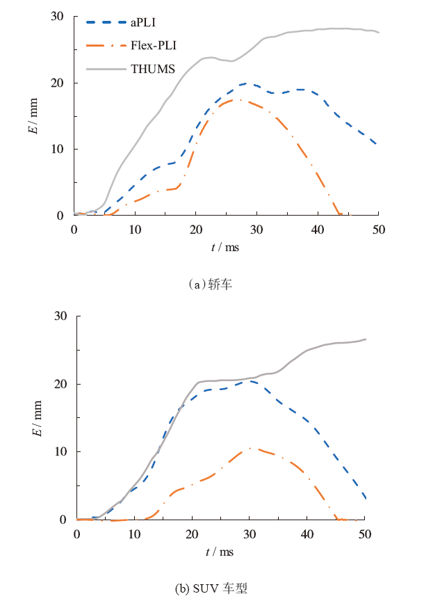
探究了在车辆结构碰撞中腿型冲击器与真实人体响应的差异性。选择了高生物逼真度冲击器和更科学的、可反映实际碰撞事故中人体损伤情况的评价方法。在轿车和运动型多功能车(SUV)车型上,运用有限元方法,分析了3种腿型冲击器和人体模型动力学响应情况;对比了小腿、大腿、膝关节以及骨盆部位的损伤指标。结果表明:先进行人腿型(aPLI)中膝关节内侧副韧带腿型(MCL)比柔性腿型(Flex-PLI)的生物逼真度更好;aPLI腿型的大腿弯矩比刚性腿型(TRL)生物逼真度更好;但aPLI腿型对SUV车型发罩前缘对骨盆造成的损伤评估不全面。因此,在行人下肢评价中采用aPLI腿型和TRL腿型测试,能更全面地评估行人的损伤情况。

关键词: 汽车安全, 行人保护, 人体模型, 高生物逼真度, 腿型冲击器, 测试规程

Abstract:

This paper explored the difference between the leg impactor for current pedestrian protection and the real human body in an actual vehicle structure collision. Selected the impactor with high biological fidelity and more scientific evaluation methods which reflect the human body injury in the actual collision accident. Analyzed the kinematic response and damage response for three leg impactors and human body models by using a finite element method on a sedan and a Sports Utility Vehicle (SUV). Compared the injury values of leg, thigh, knee and pelvis. The results show that the bio-fidelity of the Medial Collateral Ligament (MCL) of the Advanced Pedestrian Legform Impactor (aPLI) is better than that of the Flex Pedestrian Legform Impactor (Flex-PLI); and the thigh bending moment of the aPLI is better than that of the Transport Research Laboratory (TRL), but the aPLI cannot reflect the cover damage of the front edge of an SUV model to the pelvis. Therefore, the use of aPLI and TRL test in the evaluation of pedestrian lower limbs can more comprehensively evaluate the pedestrian’s injury.

Key words: vehicle safety, pedestrian protection, human body model, high biological fidelity, leg impactor, test protocol

中图分类号: