汽车安全与节能学报 ›› 2021, Vol. 12 ›› Issue (4): 456-466.DOI: 10.3969/j.issn.1674-8484.2021.04.003
张道文1,2(
), 刘奇1(
), 邱健斌1, 廖文俊1,3, 母尧尧1, 金思雨1
收稿日期:2021-03-18
出版日期:2021-12-31
发布日期:2022-01-10
作者简介:张道文(1968—),男(汉),四川,教授。E-mail: 0119910025@mail.xhu.edu.cn。基金资助:
ZHANG Daowen1,2(
), LIU Qi1(
), QIU Jianbing1, LIAO Wenjun1,3, MU Yaoyao1, JIN Siyu1
Received:2021-03-18
Online:2021-12-31
Published:2022-01-10
摘要:
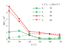
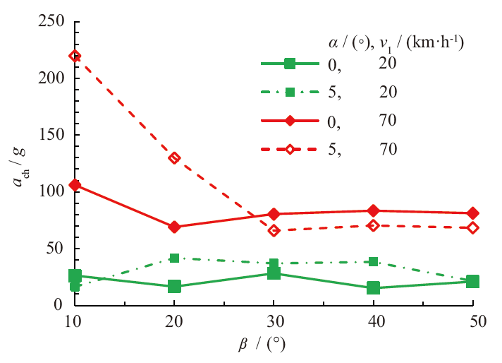
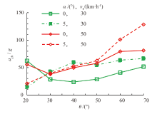
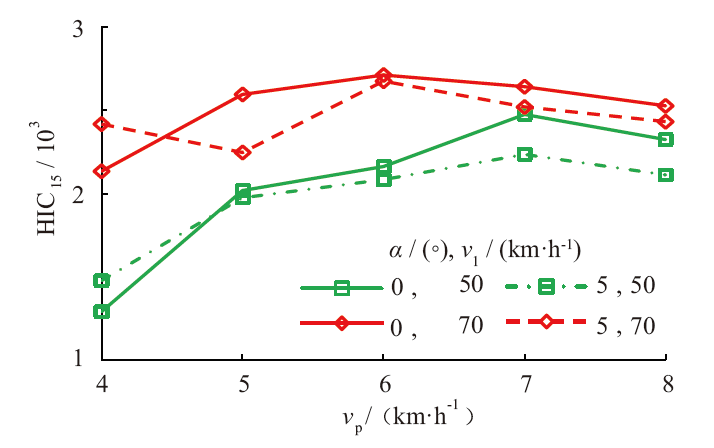
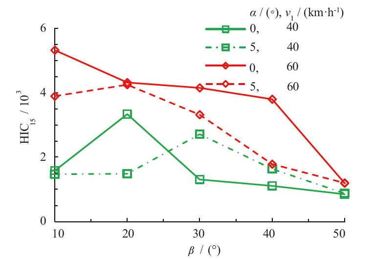
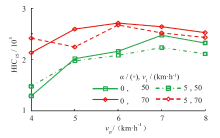
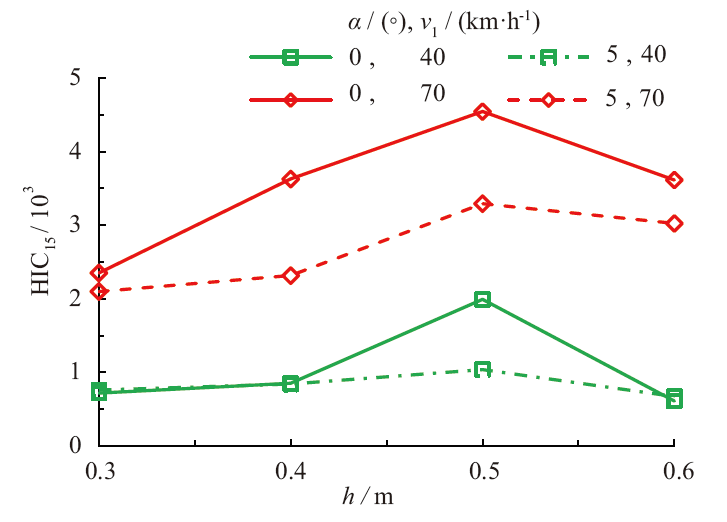
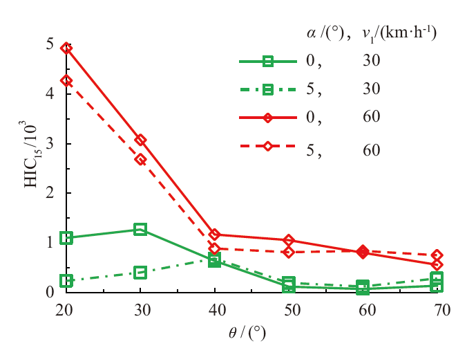
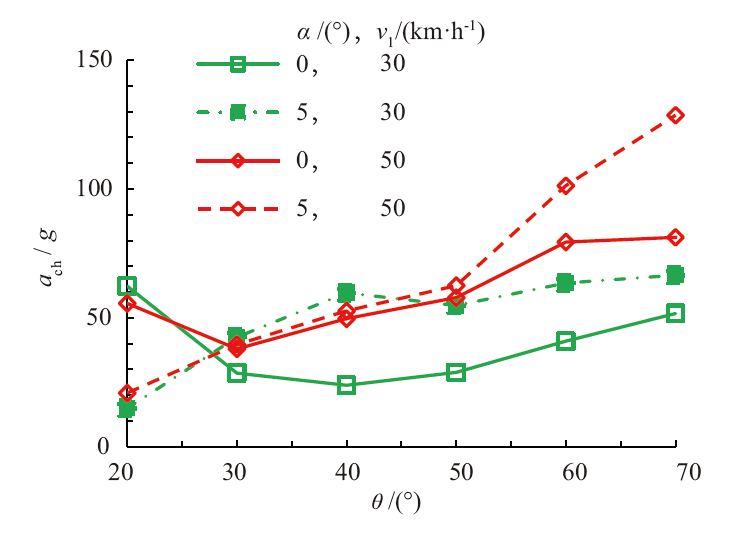
为研究行人应急姿态在车辆与行人正面碰撞时对其头部、胸部、下肢损伤的影响,利用PC-Crash软件建立行人与车辆正面碰撞的多刚体模型,根据国家车辆事故深度调查体系(NAIS)中的真实事故案例,进行事故再现和模型验证。在此基础上进行仿真实验,研究车辆在不同碰撞车速、转向角度碰撞时,行人采取不同应急姿态、动作幅度对行人碰撞损伤的影响,利用加权值评价各姿态下行人的综合损伤。结果表明:车速高于50 km/h的碰撞对行人造成较大损伤;下蹲角度达到30°时头部损伤有所降低,超过50°时行人有碾压风险;侧倾与跳跃姿态,造成头部及胸部损伤较为严重,是比较危险的姿态;跳跃0.5 m时头部损伤最严重;车辆有应急转向时,行人下蹲、跳跃对应胸部损伤较大,头部损伤则相反。
中图分类号:
张道文, 刘奇, 邱健斌, 廖文俊, 母尧尧, 金思雨. 人车碰撞中行人的应急姿态对行人的损伤影响[J]. 汽车安全与节能学报, 2021, 12(4): 456-466.
ZHANG Daowen, LIU Qi, QIU Jianbing, LIAO Wenjun, MU Yaoyao, JIN Siyu. Influence of pedestrian’s emergency posture on pedestrian injury in vehicle - pedestrian collision[J]. Journal of Automotive Safety and Energy, 2021, 12(4): 456-466.
| 应急姿态 | 碰撞模型 | 动作幅度 |
|---|---|---|
| 侧倾应急姿态(简称为侧倾姿态):身体朝向约为145 °,双腿自然弯曲15 °,双臂上抬30 °,肘部上抬50 °;上躯弯曲与竖直方向形成的夹角定义为下倾角β。 | ![]() | ![]() |
| 下蹲应急姿态(简称为下蹲姿态):重心降低20%至30%,躯干前倾15 °,双臂上抬15 °,肘部上抬60 °,两小腿后倾20 °;将下肢大腿与纵向夹角定义为下蹲角θ。 | ![]() | ![]() |
| 跳跃应急姿态(简称为跳跃姿态):身体弯曲,躯干前倾30 °,两臂上抬40 °,肘部上抬80 °,双腿大腿上抬70 °,两小腿后倾30 °;以离地高度定义为跳跃高度h。 | ![]() | ![]() |
| 跑步应急姿态(跑步姿态):跑步时身体呈现拱形,头部颈部向前弯曲25 °,躯干前倾25 °,左臂前倾20 °,肘部上抬80 °,右臂后倾30 °肘部上抬60 °,右大腿上抬65 °,右小腿后倾5 °,左大腿上抬22 °,左小腿后倾30 °;跑步避让瞬间,人的运动速度定义为vp。 | ![]() | ![]() |
| 应急姿态 | 碰撞模型 | 动作幅度 |
|---|---|---|
| 侧倾应急姿态(简称为侧倾姿态):身体朝向约为145 °,双腿自然弯曲15 °,双臂上抬30 °,肘部上抬50 °;上躯弯曲与竖直方向形成的夹角定义为下倾角β。 | ![]() | ![]() |
| 下蹲应急姿态(简称为下蹲姿态):重心降低20%至30%,躯干前倾15 °,双臂上抬15 °,肘部上抬60 °,两小腿后倾20 °;将下肢大腿与纵向夹角定义为下蹲角θ。 | ![]() | ![]() |
| 跳跃应急姿态(简称为跳跃姿态):身体弯曲,躯干前倾30 °,两臂上抬40 °,肘部上抬80 °,双腿大腿上抬70 °,两小腿后倾30 °;以离地高度定义为跳跃高度h。 | ![]() | ![]() |
| 跑步应急姿态(跑步姿态):跑步时身体呈现拱形,头部颈部向前弯曲25 °,躯干前倾25 °,左臂前倾20 °,肘部上抬80 °,右臂后倾30 °肘部上抬60 °,右大腿上抬65 °,右小腿后倾5 °,左大腿上抬22 °,左小腿后倾30 °;跑步避让瞬间,人的运动速度定义为vp。 | ![]() | ![]() |
| 事故车辆参数 | 数值 |
|---|---|
| 长×宽×高 | 4 718 mm×1 802 mm×1 466 mm |
| 整备质量 | 1 295 kg |
| 满载质量 | 1 745 kg |
| 轴距 | 2 700 mm |
| 前轮距/后轮距 | 1 540 / 1 558 mm |
| 前保险杠下端离地高度 | 240 mm |
| 前保险杠宽度 | 460 mm |
| 发动机罩前端离地高度 | 760 mm |
| 发动机罩长度 | 780 mm |
| 事故车辆参数 | 数值 |
|---|---|
| 长×宽×高 | 4 718 mm×1 802 mm×1 466 mm |
| 整备质量 | 1 295 kg |
| 满载质量 | 1 745 kg |
| 轴距 | 2 700 mm |
| 前轮距/后轮距 | 1 540 / 1 558 mm |
| 前保险杠下端离地高度 | 240 mm |
| 前保险杠宽度 | 460 mm |
| 发动机罩前端离地高度 | 760 mm |
| 发动机罩长度 | 780 mm |
| 视频动画 仿真动画 | 视频动画 仿真动画 |
|---|---|
| t = 0 ms时,行人突然窜出轿车制动并伴随着转向。 | t = 45 ms时,行人下肢与车辆前部接触造成进气格栅脱落、翼子板轻微变形,行人右肘部与轿车引擎盖发生接触导致引擎盖发生塌陷。 |
| t = 75 ms,行人头部由于撞击惯性跃起后与轿车挡风玻璃下侧碰撞形成蜘蛛网状裂纹,随后行人翻转与轿车分离。 | t = 5 100 ms,碰撞结束行人抛掷后落于车辆后方。 |
| 视频动画 仿真动画 | 视频动画 仿真动画 |
|---|---|
| t = 0 ms时,行人突然窜出轿车制动并伴随着转向。 | t = 45 ms时,行人下肢与车辆前部接触造成进气格栅脱落、翼子板轻微变形,行人右肘部与轿车引擎盖发生接触导致引擎盖发生塌陷。 |
| t = 75 ms,行人头部由于撞击惯性跃起后与轿车挡风玻璃下侧碰撞形成蜘蛛网状裂纹,随后行人翻转与轿车分离。 | t = 5 100 ms,碰撞结束行人抛掷后落于车辆后方。 |
| 应急姿态 | α /( °) | 动作幅度 | v1 /( km·h-1) |
|---|---|---|---|
| 侧倾姿态 | 0,5 | β = 10 °~50 ° (10 °间隔) | 20~70 (10 km步长) |
| 下蹲姿态 | 0,5 | θ = 20 °~70 ° (10 °间隔) | |
| 跳跃姿态 | 0,5 | h = 0.3 ~0.6 m (0.1 m步长) | |
| 跑步姿态 | 0,5 | vp = 4 ~8 km/h (1 km步长) |
| 应急姿态 | α /( °) | 动作幅度 | v1 /( km·h-1) |
|---|---|---|---|
| 侧倾姿态 | 0,5 | β = 10 °~50 ° (10 °间隔) | 20~70 (10 km步长) |
| 下蹲姿态 | 0,5 | θ = 20 °~70 ° (10 °间隔) | |
| 跳跃姿态 | 0,5 | h = 0.3 ~0.6 m (0.1 m步长) | |
| 跑步姿态 | 0,5 | vp = 4 ~8 km/h (1 km步长) |
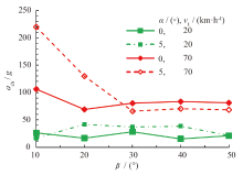
| β | 左小腿α / g | 右小腿α / g | ||
|---|---|---|---|---|
| (°) | α = 0 ° | α = 5 ° | α = 0 ° | α = 5 ° |
| 10 | 122.1 | 137.5 | 132.1 | 101.9 |
| 20 | 127.7 | 145.9 | 129.5 | 112.7 |
| 30 | 117.9 | 153.3 | 80.2 | 122.7 |
| 40 | 102.7 | 89.9 | 289.9 | 132.2 |
| 50 | 93.3 | 102.6 | 131.5 | 70.6 |
| β | 左小腿α / g | 右小腿α / g | ||
|---|---|---|---|---|
| (°) | α = 0 ° | α = 5 ° | α = 0 ° | α = 5 ° |
| 10 | 122.1 | 137.5 | 132.1 | 101.9 |
| 20 | 127.7 | 145.9 | 129.5 | 112.7 |
| 30 | 117.9 | 153.3 | 80.2 | 122.7 |
| 40 | 102.7 | 89.9 | 289.9 | 132.2 |
| 50 | 93.3 | 102.6 | 131.5 | 70.6 |
| θ | 左小腿al / g | 右小腿ar / g | ||
|---|---|---|---|---|
| ( °) | α = 0 ° | α = 5 ° | α = 0 ° | α = 5 ° |
| 20 | 84.9(30) | 139.4(30) | 108.3(30) | 148.5(30) |
| 175.5(50) | 169.6(50) | 166.2(50) | 219.8(50) | |
| 30 | 128.1 (30) | 166.0(30) | 130.2(30) | 76.2(30) |
| 110.9(50) | 122.6(50) | 188.7(50) | 227.1(50) | |
| 40 | 85.1(30) | 122.7(30) | 94.0(30) | 100.7(30) |
| 137.8(50) | 171.4(50) | 194.6(50) | 359.6(50) | |
| 50 | 125.5(30) | 148.8(30) | 144.0(30) | 97.7(50) |
| 138.7(50) | 184.4(50) | 188.3(50) | 224.2(50) | |
| 60 | 125.2(30) | 138.3(30) | 130.3(30) | 95.5(30) |
| 156.7(50) | 203.2(50) | 88.0(50) | 170.2(50) | |
| 70 | 49.4(30) | 38.2(30) | 108.6(30) | 92.6(30) |
| 169.6(50) | 205.9(50) | 79.3(50) | 113.5(50) | |
| θ | 左小腿al / g | 右小腿ar / g | ||
|---|---|---|---|---|
| ( °) | α = 0 ° | α = 5 ° | α = 0 ° | α = 5 ° |
| 20 | 84.9(30) | 139.4(30) | 108.3(30) | 148.5(30) |
| 175.5(50) | 169.6(50) | 166.2(50) | 219.8(50) | |
| 30 | 128.1 (30) | 166.0(30) | 130.2(30) | 76.2(30) |
| 110.9(50) | 122.6(50) | 188.7(50) | 227.1(50) | |
| 40 | 85.1(30) | 122.7(30) | 94.0(30) | 100.7(30) |
| 137.8(50) | 171.4(50) | 194.6(50) | 359.6(50) | |
| 50 | 125.5(30) | 148.8(30) | 144.0(30) | 97.7(50) |
| 138.7(50) | 184.4(50) | 188.3(50) | 224.2(50) | |
| 60 | 125.2(30) | 138.3(30) | 130.3(30) | 95.5(30) |
| 156.7(50) | 203.2(50) | 88.0(50) | 170.2(50) | |
| 70 | 49.4(30) | 38.2(30) | 108.6(30) | 92.6(30) |
| 169.6(50) | 205.9(50) | 79.3(50) | 113.5(50) | |
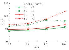
| h m | 左小腿a / g | 右小腿a / g | ||
|---|---|---|---|---|
| α = 0 ° | α = 5 ° | α = 0 ° | α = 5 ° | |
| 30 | 132.4(40) | 161.4(40) | 189.8(40) | 275.5(40) |
| 207.3(60) | 222.4(60) | 246.8(60) | 220.5(60) | |
| 40 | 113.2(40) | 181.0(40) | 359.1(40) | 335.5(40) |
| 274.4(60) | 247.8(60) | 375.9(60) | 346.8(60) | |
| 50 | 244.9(40) | 96.1(40) | 268.9(40) | 342.5(40) |
| 278.3(60) | 256.6(60) | 310.2(60) | 375.1(60) | |
| 60 | 148.7(40) | 133.7(40) | 295.7(40) | 229.8(40) |
| 142.2(60) | 152.8(60) | 268.7(60) | 245.4(60) | |
| h m | 左小腿a / g | 右小腿a / g | ||
|---|---|---|---|---|
| α = 0 ° | α = 5 ° | α = 0 ° | α = 5 ° | |
| 30 | 132.4(40) | 161.4(40) | 189.8(40) | 275.5(40) |
| 207.3(60) | 222.4(60) | 246.8(60) | 220.5(60) | |
| 40 | 113.2(40) | 181.0(40) | 359.1(40) | 335.5(40) |
| 274.4(60) | 247.8(60) | 375.9(60) | 346.8(60) | |
| 50 | 244.9(40) | 96.1(40) | 268.9(40) | 342.5(40) |
| 278.3(60) | 256.6(60) | 310.2(60) | 375.1(60) | |
| 60 | 148.7(40) | 133.7(40) | 295.7(40) | 229.8(40) |
| 142.2(60) | 152.8(60) | 268.7(60) | 245.4(60) | |
| vp | 左小腿α / g | 右小腿α / g | ||
|---|---|---|---|---|
| km·h-1 | α = 0 ° | α = 5 ° | α = 0 ° | α = 5 ° |
| 4 | 135.3(40) | 122.3(40) | 244.3(40) | 258.8(40) |
| 154.9(50) | 266.9(50) | 259.6(50) | 272.1(50) | |
| 5 | 137.9(40) | 105.1(40) | 237.6(40) | 249.0(40) |
| 141.5(50) | 163.7(50) | 254.4(50) | 268.7(50) | |
| 6 | 83.5(40) | 114.9(40) | 224.2(40) | 240.4(40) |
| 163.3(50) | 152.8(50) | 246.3(50) | 263.6(50) | |
| 7 | 117.0(40) | 99.0(40) | 243.5(40) | 241.7(40) |
| 106.0(50) | 137.0(50) | 242.4(50) | 256.3(50) | |
| 8 | 182.8(40) | 62.2(40) | 230.1(40) | 231.7(40) |
| 100.1(50) | 374.0(50) | 192.2(50) | 277.2(50) | |
| vp | 左小腿α / g | 右小腿α / g | ||
|---|---|---|---|---|
| km·h-1 | α = 0 ° | α = 5 ° | α = 0 ° | α = 5 ° |
| 4 | 135.3(40) | 122.3(40) | 244.3(40) | 258.8(40) |
| 154.9(50) | 266.9(50) | 259.6(50) | 272.1(50) | |
| 5 | 137.9(40) | 105.1(40) | 237.6(40) | 249.0(40) |
| 141.5(50) | 163.7(50) | 254.4(50) | 268.7(50) | |
| 6 | 83.5(40) | 114.9(40) | 224.2(40) | 240.4(40) |
| 163.3(50) | 152.8(50) | 246.3(50) | 263.6(50) | |
| 7 | 117.0(40) | 99.0(40) | 243.5(40) | 241.7(40) |
| 106.0(50) | 137.0(50) | 242.4(50) | 256.3(50) | |
| 8 | 182.8(40) | 62.2(40) | 230.1(40) | 231.7(40) |
| 100.1(50) | 374.0(50) | 192.2(50) | 277.2(50) | |
| v1 | α | Wmin | |||
|---|---|---|---|---|---|
| km·h-1 | (°) | 侧倾 | 下蹲 | 跳跃 | 跑步 |
| 20 | 0 | 0.16 | 0.15 | 0.26 | 0.17 |
| 5 | 0.20 | 0.13 | 0.38 | 0.11 | |
| 30 | 0 | 0.32 | 0.29 | 0.39 | 0.29 |
| 5 | 0.28 | 0.28 | 0.59 | 0.33 | |
| 40 | 0 | 0.92 | 0.35 | 0.71 | 0.49 |
| 5 | 0.98 | 0.28 | 0.72 | 0.68 | |
| 50 | 0 | 0.72 | 0.64 | 0.81 | 1.05 |
| 5 | 0.92 | 0.48 | 1.07 | 1.21 | |
| 60 | 0 | 1.13 | 1.06 | 1.05 | 1.66 |
| 5 | 1.15 | 1.02 | 1.32 | 1.69 | |
| 70 | 0 | 1.71 | 1.30 | 1.79 | 2.21 |
| 5 | 1.61 | 1.25 | 1.76 | 1.98 | |
| v1 | α | Wmin | |||
|---|---|---|---|---|---|
| km·h-1 | (°) | 侧倾 | 下蹲 | 跳跃 | 跑步 |
| 20 | 0 | 0.16 | 0.15 | 0.26 | 0.17 |
| 5 | 0.20 | 0.13 | 0.38 | 0.11 | |
| 30 | 0 | 0.32 | 0.29 | 0.39 | 0.29 |
| 5 | 0.28 | 0.28 | 0.59 | 0.33 | |
| 40 | 0 | 0.92 | 0.35 | 0.71 | 0.49 |
| 5 | 0.98 | 0.28 | 0.72 | 0.68 | |
| 50 | 0 | 0.72 | 0.64 | 0.81 | 1.05 |
| 5 | 0.92 | 0.48 | 1.07 | 1.21 | |
| 60 | 0 | 1.13 | 1.06 | 1.05 | 1.66 |
| 5 | 1.15 | 1.02 | 1.32 | 1.69 | |
| 70 | 0 | 1.71 | 1.30 | 1.79 | 2.21 |
| 5 | 1.61 | 1.25 | 1.76 | 1.98 | |
| v1 | α | Wmax | |||
|---|---|---|---|---|---|
| km·h-1 | (°) | 侧倾 | 下蹲 | 跳跃 | 跑步 |
| 20 | 0 | 0.53 | 0.98 | 0.43 | 0.38 |
| 5 | 0.45 | 0.39 | 0.63 | 0.22 | |
| 30 | 0 | 0.57 | 1.06 | 0.78 | 0.64 |
| 5 | 0.98 | 0.79 | 0.81 | 0.64 | |
| 40 | 0 | 2.26 | 2.57 | 1.62 | 1.03 |
| 5 | 1.89 | 3.00 | 1.16 | 0.79 | |
| 50 | 0 | 4.23 | 1.27 | 1.48 | 1.83 |
| 5 | 2.00 | 1.21 | 2.089 | 1.75 | |
| 60 | 0 | 3.78 | 3.45 | 2.22 | 1.99 |
| 5 | 3.45 | 2.80 | 2.81 | 2.13 | |
| 70 | 0 | 4.15 | 3.09 | 3.17 | 2.93 |
| 5 | 5.58 | 4.58 | 2.62 | 2.68 | |
| v1 | α | Wmax | |||
|---|---|---|---|---|---|
| km·h-1 | (°) | 侧倾 | 下蹲 | 跳跃 | 跑步 |
| 20 | 0 | 0.53 | 0.98 | 0.43 | 0.38 |
| 5 | 0.45 | 0.39 | 0.63 | 0.22 | |
| 30 | 0 | 0.57 | 1.06 | 0.78 | 0.64 |
| 5 | 0.98 | 0.79 | 0.81 | 0.64 | |
| 40 | 0 | 2.26 | 2.57 | 1.62 | 1.03 |
| 5 | 1.89 | 3.00 | 1.16 | 0.79 | |
| 50 | 0 | 4.23 | 1.27 | 1.48 | 1.83 |
| 5 | 2.00 | 1.21 | 2.089 | 1.75 | |
| 60 | 0 | 3.78 | 3.45 | 2.22 | 1.99 |
| 5 | 3.45 | 2.80 | 2.81 | 2.13 | |
| 70 | 0 | 4.15 | 3.09 | 3.17 | 2.93 |
| 5 | 5.58 | 4.58 | 2.62 | 2.68 | |
| α (°) | v1 km·h-1 | β (°) | Wmin | θ (°) | Wmin | h m | Wmin | vp km·h-1 | Wmin |
|---|---|---|---|---|---|---|---|---|---|
| 0 | 20 | 20 | 0.2 | 50 | 0.2 | 0.4 | 0.3 | 5 | 0.2 |
| 30 | 50 | 0.3 | 50 | 0.3 | 0.4 | 0.4 | 4 | 0.3 | |
| 40 | 50 | 0.9 | 50 | 0.4 | 0.3 | 0.7 | 5 | 0.5 | |
| 50 | 50 | 0.4 | 30 | 0.6 | 0.3 | 0.8 | 4 | 1.0 | |
| 60 | 50 | 1.3 | 60 | 1.1 | 0.4 | 1.0 | 4 | 1.7 | |
| 70 | 50 | 1.7 | 70 | 1.3 | 0.3 | 1.8 | 8 | 2.2 | |
| 5 | 20 | 50 | 0.2 | 20 | 0.1 | 0.4 | 0.4 | 4 | 0.1 |
| 30 | 50 | 0.3 | 20 | 0.3 | 0.3 | 0.3 | 5 | 0.3 | |
| 40 | 50 | 1.0 | 20 | 0.3 | 0.3 | 0.7 | 6 | 0.7 | |
| 50 | 50 | 0.9 | 20 | 0.5 | 0.4 | 1.1 | 4 | 1.2 | |
| 60 | 50 | 1.2 | 40 | 1.1 | 0.3 | 1.3 | 5 | 1.7 | |
| 70 | 50 | 1.6 | 20 | 1.2 | 0.3 | 1.8 | 8 | 1.9 |
| α (°) | v1 km·h-1 | β (°) | Wmin | θ (°) | Wmin | h m | Wmin | vp km·h-1 | Wmin |
|---|---|---|---|---|---|---|---|---|---|
| 0 | 20 | 20 | 0.2 | 50 | 0.2 | 0.4 | 0.3 | 5 | 0.2 |
| 30 | 50 | 0.3 | 50 | 0.3 | 0.4 | 0.4 | 4 | 0.3 | |
| 40 | 50 | 0.9 | 50 | 0.4 | 0.3 | 0.7 | 5 | 0.5 | |
| 50 | 50 | 0.4 | 30 | 0.6 | 0.3 | 0.8 | 4 | 1.0 | |
| 60 | 50 | 1.3 | 60 | 1.1 | 0.4 | 1.0 | 4 | 1.7 | |
| 70 | 50 | 1.7 | 70 | 1.3 | 0.3 | 1.8 | 8 | 2.2 | |
| 5 | 20 | 50 | 0.2 | 20 | 0.1 | 0.4 | 0.4 | 4 | 0.1 |
| 30 | 50 | 0.3 | 20 | 0.3 | 0.3 | 0.3 | 5 | 0.3 | |
| 40 | 50 | 1.0 | 20 | 0.3 | 0.3 | 0.7 | 6 | 0.7 | |
| 50 | 50 | 0.9 | 20 | 0.5 | 0.4 | 1.1 | 4 | 1.2 | |
| 60 | 50 | 1.2 | 40 | 1.1 | 0.3 | 1.3 | 5 | 1.7 | |
| 70 | 50 | 1.6 | 20 | 1.2 | 0.3 | 1.8 | 8 | 1.9 |
| [1] | World Health Organization. Global status report on road safety 2018[R]. Geneva: WHO Press, 2018. |
| [2] | 尹均, 张道文, 肖凌云, 等. 人车事故中不同体型行人应急姿态仿真研究[J]. 中国安全科学学报, 2018, 28(2):51-56. |
| YIN Jun, ZHANG Daowen, XIAO Lingyun, et al. Simulation study on emergency posture of pedestrians with different body types in human-vehicle accidents[J]. Chin Safe Sci J, 2018, 28(2):51-56. (in Chinese) | |
| [3] | 张鹏. 应急姿态对人车碰撞后行人运动形态和损伤研究[D]. 成都:西华大学, 2019. |
| ZHANG Peng. Effect of emergency posture on pedestrian movement and injury after pedestrian vehicle collision[D]. Chengdu: Xihua University, 2019. (in Chinese) | |
| [4] | 刘卓异. 行人与厢式汽车碰撞事故中行人应急姿态对自身损伤影响研究[D]. 成都: 西华大学, 2020. |
| LIU Zhuoyi. Study on the impact of pedestrian emergency attitude on self-injury in pedestrian and vane vehicle collision accident[D]. Chengdu: Xihua University, 2020. (in Chinese) | |
| [5] | 李丹, 李平飞, 廖文俊, 等. 运动状态对人车碰撞事故中行人损伤的影响[J]. 科学技术与工程, 2019, 19(20):383-388. |
| LI Dan, LI Pingfei, LIAO Wenjun, et al. Effect of pedestrian movement on pedestrian injury in pedestrian vehicle collision[J]. Sci Tech Engi, 2019, 19(20):383-388. (in Chinese) | |
| [6] | 杨济匡, 赵淑婧. 大客车与行人碰撞中动力学响应及损伤参数的仿真[J]. 汽车安全与节能学报, 2014, 5(2):151-158. |
| YANG Jikuang, ZHAO Shujing. Simulation of dynamic response and damage parameters in collision between bus and pedestrian[J]. J Autom Safe Energ, 2014, 5(2):151-158. (in Chinese) | |
| [7] | 陈奇, 张道文, 王鑫. 行人与厢式客车碰撞后的运动形态及损伤研究[J]. 中国安全科学学报, 2015, 25(9):133-138 |
| CHEN Qi, ZHANG Daowen, WANG Xin. Study on motion pattern and injury of pedestrian and van bus after collision[J]. Chin Safe Sci J, 2015, 25(9):133-138. (in Chinese) | |
| [8] | Simms C K, Wood D P. Effects of pre-impact pedestrian position and motion on kinematics and injuries from vehicle and ground contact[J]. Int’l J Crashworthiness, 2006, 11(4):345-355. |
| [9] |
Gianmarco C, Simone P, Marco P, et al. The influence of vehicle front-end design on pedestrian ground impact[J]. Accid Anal Prevent, 2015, 79:56-69.
doi: 10.1016/j.aap.2015.03.009 URL |
| [10] |
Elliott R, Simms C K, Wood D P. Pedestrian head translation, rotation and impact velocity: the influence of vehicle speed, pedestrian speed and pedestrian gait[J]. Accid Anal Prevent, 2012, 45(1):342-353.
doi: 10.1016/j.aap.2011.07.022 URL |
| [11] | 张诗波, 刘澜. 行人被面包车碰撞的运动学规律[J]. 中国公路学报, 2018, 31(4):262-269. |
| ZHANG Shibo, LIU Lan. Kinematics of pedestrian impacted by Van[J]. Chin J Highway Transport, 2018, 31(4):262-269. (in Chinese) | |
| [12] | Severy D, Brink H. Auto pedestrian collision experiments[C]// Automotive Engineering Congress and Exposition. San Diego: Society of Automotive Engineers, 1966: 323-371. |
| [13] | Versace J. A review of the severity index[C]// 15th Stapp Car Crash Conference. San Diego: Society of Automotive Engineers, 1971: 771-796. |
| [14] |
XU Jun, SHANG Shi, YU Guizhen, et al. Are electric self-balancing scooters safe in vehicle crash accidents?[J]. Accid Anal Prevent, 2016, 87:102-116.
doi: 10.1016/j.aap.2015.10.022 URL |
| [15] | Fildes B N, Lane J C, Lenard J, et al. Passenger cars and occupant, injury Report[R]. Monash University Accident Research Center, No. cr95, 1991. |
| [16] | 马伟杰, 史永万, 刘志新. 基于线性回归的头部损伤评价指标分析[J]. 中国汽车, 2019(8):52-56. |
| MA Weijie, SHI Yongwan, LIU Zhixin. Analysis of head injury evaluation index based on linear regression[J]. China Auto, 2019 (8):52-56. (in Chinese) | |
| [17] | Euro NCAP. Assessment protocol-pedestrian protection (version7.0)[S]. European: European New Car Assessment Program, 2014. |
| [18] | 杨济匡. 汽车与行人碰撞中的损伤生物力学研究概览[J]. 汽车工程学报, 2011, 1(3):81-93. |
| YANG Jikuang. An overview of biomechanics research on damage in vehicle-pedestrian collision[J]. Chin J Autom Engi, 2011, 1(3):81-93. (in Chinese) | |
| [19] | Tobias N, Mirko J, Stefanie A. Pedestrian injury risk functions based on contour lines of equal injury severity using real world pedestrian/passenger-car accident Data[C] // 57th Ann Sci Conf Asso Advan Autom Medi. Québec: Ann Adv Automot Med, 2013: 145-154. |
| [20] | Viano D C, Arepally S. Assessing the safety performance of occupant restraint systems[J]. Soc Autom Engin Trans, 1990, 43(43):1407-1413. |
| [21] | 曹毅, 周华, 肖凌云, 等. 基于NAIS数据库中视频信息的人:车碰撞事故特征分析[J]. 汽车安全与节能学报, 2020, 11(1):44-52. |
| CAO Yi, ZHOU Hua, XIAO Lingyun, et al. Characteristics analysis of human vehicle collision accidents based on video information in NAIS database[J]. J Autom Safe Energ, 2020, 11(1):44-52. (in Chinese) | |
| [22] | 庹永恒. 基于PC-CRASH的汽车与行人碰撞事故再现仿真研究[D]. 重庆: 重庆交通大学, 2009. |
| TUO Yongheng. Simulation Research on vehicle pedestrian collision reconstruction based on PC-Crash[D]. Chongqing: Chongqing Jiao tong University, 2009. (in Chinese) | |
| [23] | 中国国家标准化管理委员会. 道路交通事故车辆速度鉴定(GB/T633195-2016)[S]. 北京: 中国标准出版社, 2016. |
| China National Standardization Management Committee. Identification for the speed of vehicle involved in road traffic accident (GB/T633195-2016)[S]. Beijing: China Standard Press, 2016. (in Chinese) |
| [1] | 袁泉, 齐悦瑞, 于迪, 徐学才 . 骑行者智能手机使用行为的影响因素与风险情景[J]. 汽车安全与节能学报, 2022, 13(1): 48-54. |
| [2] | 袁泉, 于迪, 肖睿轩, 石屹, 王明直. 基于行为计划理论的行人心理风险影响特性[J]. 汽车安全与节能学报, 2020, 11(4): 511-517. |
| [3] | 李正磊, 褚端峰, 贺 宜, 陆丽萍, 吴超仲. 考虑时滞的协作式自动驾驶车队的纵向控制方法[J]. 汽车安全与节能学报, 2020, 11(2): 182-188. |
| [4] | 韩 勇,贺 伟,李 泉,等. 基于视频信息的汽车碰撞事故中骑车人运动学响应分析[J]. JASE, 2017, 08(04): 381-387. |
| [5] | 刘文超,胡孟夏,王岩,李一兵. 基于双目立体视觉的车载式交通事故现场快速勘查系统[J]. 汽车安全与节能学报, 2012, 3(3): 239-244. |
| [6] | 袁泉,胡孟夏,李一兵. 基于真实事故数据的人车碰撞事故场景设计与驾驶模拟实验 (英文)[J]. 汽车安全与节能学报, 2012, 3(1): 19-25. |
| [7] | 邓滨, 王震台, 杨济匡, 孔春玉. 中国和瑞典城市行人事故形态对比研究[J]. 汽车安全与节能学报, 2010, 1(3): 190-194. |
| [8] | 郭锐, 袁泉, 李一兵. 基于中国人体参数的人车碰撞事故有限元法仿真[J]. 汽车安全与节能学报, 2010, 1(2): 122-126. |
| 阅读次数 | ||||||
|
全文 |
|
|||||
|
摘要 |
|
|||||