汽车安全与节能学报 ›› 2023, Vol. 14 ›› Issue (6): 671-680.DOI: 10.3969/j.issn.1674-8484.2023.06.003
张道文1,2,3(
), 雷毅1(
), 任耀1, 汤楷文1, 董鑫驰1, 罗晶1, 胡文浩4,5,*(
)
收稿日期:2023-06-02
修回日期:2023-10-07
出版日期:2023-12-31
发布日期:2023-12-26
通讯作者:
* 胡文浩,工程师。E-mail:huwh@dpac.org.cn。
作者简介:张道文(1968—),男(汉),四川,教授。E-mail:0119910025@mail.xhu.edu.cn。基金资助:
ZHANG Daowen1,2,3(
), LEI Yi1(
), REN Yao1, TANG Kaiwen1, DONG Xinchi1, LUO Jing1, HU Wenhao4,5,*(
)
Received:2023-06-02
Revised:2023-10-07
Online:2023-12-31
Published:2023-12-26
摘要:
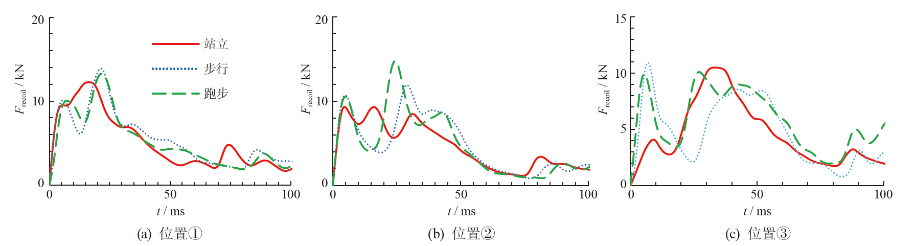
为了深入研究人—车碰撞事故中行人的下肢运动响应和生物力学损伤规律,基于国家车辆事故深度调查体系中真实的交通事故案例,建立了人-车碰撞有限元模型并进行了模型有效性的验证。利用THUMS人体模型模拟了行人站立、步行、跑步3种姿态,针对车辆前部横向结构特征选取了3个碰撞位置,分析了行人下肢在碰撞位置的生物力学响应和损伤特点。结果表明:在40 km/h的碰撞初速度下,车辆前部横向结构特征对行人左、右腿的运动响应和损伤有较大影响;行人股骨高风险区域为股骨头和股骨骨干,其最大应力值达到124.9 MPa, 而胫骨高风险区域为胫骨骨干,其最大应力值达到157.2 MPa;行人左腿膝关节最大横向弯曲角37.1°,最大剪切位移12.5 mm,其损伤风险相对于右腿膝关节更高;在车灯碰撞区,行人下肢受到的损伤比车辆其他碰撞区的损伤更低。
中图分类号:
张道文, 雷毅, 任耀, 汤楷文, 董鑫驰, 罗晶, 胡文浩. 基于人—车碰撞事故重建的行人下肢动力学响应与损伤生物力学分析[J]. 汽车安全与节能学报, 2023, 14(6): 671-680.
ZHANG Daowen, LEI Yi, REN Yao, TANG Kaiwen, DONG Xinchi, LUO Jing, HU Wenhao. Pedestrian lower limb dynamic response and injury biomechanical analysis based on pedestrian-vehicle collision accident reconstruction[J]. Journal of Automotive Safety and Energy, 2023, 14(6): 671-680.
| [1] | WHO World Health Organization. Global status report on road safety 2018 [EB/OL]. (2018-05-19). https://www.who.int/publications/i/item/9789241565684. |
| [2] | CHEN Huipeng, FU Lianxue, ZHENG Heyue. A comparative study between China and IHRA for the vehicle-pedestrian impact[J]. SAE Int’l J Passen Cars-Mech Syst, 2009, 2: 1108-1115. |
| [3] |
Decker S, Otte D, Cruz L D, et al. Injury severity of pedestrians, bicyclists and motorcyclists resulting from crashes with reversing cars[J]. Accid Anal Prev, 2016, 94: 46-51.
doi: 10.1016/j.aap.2016.05.010 pmid: 27240128 |
| [4] | Mizuno Y, Ishikawa H. Summary of IHRA pedestrian safety WG activities-Proposed test methods to evaluate pedestrian protection a forded by passenger cars[R]. SAE Tech Paper, 2001,2001-06-0136. |
| [5] | C-NCAP. 2021版管理规则[S]. (2022-01-18). www.c-ncap.org.cn. 2021 |
| C-NCAP 2021 Management Regulation[S]. (2022-01-18). www.c-ncap.org.cn. 2021. (in Chinese) | |
| [6] | 张冠军, 秦勤, 陈峥, 等. SUV前端造型对行人下肢损伤影响的定量研究[J]. 汽车工程, 2017, 39(4): 424-431. |
| ZHANG Guanjun, QIN Qin, CHEN Zheng, et al. Quantitative study on the effects of the frontend styling of SUV on pedestrian lower limbs injury[J]. Autom Engineering, 2017, 39(4): 424-431. (in Chinese) | |
| [7] | 聂冰冰, 夏勇, 黄俊, 等. 针对行人髋部碰撞保护的汽车前端造型与结构概念设计研究[J]. 汽车工程, 2014, 36(3): 286-292. |
| NIE Bingbing, XIA Yong, HUANG Jun, et al. A study on vehicle front-end styling and structure concept design for pedestrian upper leg impact protection[J]. Autom Engineering, 2014, 36(3): 286-292. (in Chinese) | |
| [8] | Scattina A, Mo F, Masson C, et al. Analysis of the influence of passenger vehicles front-end design on pedestrian lower extremity injuries by means of the LLMS model[J]. Traf Inju Prev, 2018, 19(5): 535-541. |
| [9] | 刘天泉, 王丙雨, 吴贺, 等. 保险杠刚度特性对行人头部及下肢的损伤影响[J]. 汽车安全与节能学报, 2023, 14(1): 17-22. |
| LIU Tianquan, WANG Bingyu, WU He, et al. Effects of the bumper stiffness characteristics on the pedestrian head injuries and the lower extremities injuries[J]. J Autom Safe Energ, 2023, 14(1): 17-22. (in Chinese) | |
| [10] |
蒋阳, 黄海波. 人车碰撞中行人损伤影响因素研究[J]. 中国安全科学学报, 2017, 27(3): 95-99.
doi: 10.16265/j.cnki.issn1003-3033.2017.03.017 |
| JIANG Yang, HUANG Haibo. A study on multiple factors affecting pedestrian injury in pedestrian-car collision accident[J]. Chin Safe Sci J, 2017, 27(3): 95-99. (in Chinese) | |
| [11] |
尹均, 张道文, 肖凌云, 等. 人车事故中不同体型行人应急姿态仿真研究[J]. 中国安全科学学报, 2018, 28(2): 51-56.
doi: 10.16265/j.cnki.issn1003-3033.2018.02.009 |
| YIN Jun, ZHANG Daowen, XIAO Lingyun, et al. Simulation research on emergency postures of pedestrians different in body type in pedestrian-vehicle accident[J]. Chin Safe Sci J, 2018, 28(2): 51-56. (in Chinese) | |
| [12] |
LI Guibing, YANG Jikuang, Simms C. The influence of gait stance on pedestrian lower limb injury risk[J]. Accid Anal Prev, 2015, 85: 83-92.
doi: 10.1016/j.aap.2015.07.012 pmid: 26397198 |
| [13] | 王丙雨, 聂进, Dietmar OTTE, 等. 碰撞速度和行人年龄对下肢严重损伤风险的影响[J]. 汽车安全与节能学报, 2018, 9(1): 25-31. |
| WANG Bingyu, NIE Jin, OTTE Dietmar, et al. Effects of impact speeds and pedestrian ages on lower extremity serious injury risk[J]. J Autom Safe Energ, 2018, 9(1): 25-31. (in Chinese) | |
| [14] | Reichert R, Mohan P, Marzougui D, et al. Validation of a toyota camry finite element model for multiple impact configurations[R]. SAE Tech Paper, 2016, 2016-01-1534. |
| [15] | Lalwala M, Chawla A, Thomas P, et al. Finite element reconstruction of real-world pedestrian accidents using THUMS pedestrian model[J]. Int’l J Crash, 2020, 25(4): 360-375. |
| [16] | 邹铁方, 蔡铭, 杜荣华, 等. 车人碰撞事故再现技术研究进展[J]. 中国安全科学学报, 2011, 21(8): 95-100. |
| ZOU Tiefang, CAI Ming, DU Ronghua, et al. Review on Vehicle-pedestrian Accident Reconstruction Techniques[J]. Chin Safe Sci J, 2011, 21(8): 95-100. (in Chinese) | |
| [17] | Untaroiu C D, Meissner M U, Crandall J R, et al. Crash reconstruction of pedestrian accidents using optimization techniques[J]. Intl J Impact Engi, 2009, 36(2): 210-219. |
| [18] | 王方, 蔡加欣, 王丙雨, 等. 基于行人碰撞事故重建的颅脑损伤准则效能研究[J]. 中国公路学报, 2018, 31(4): 231-240. |
| WANG Fang, CAI Jiaxin, WANG Bingyu, et al. Investigation of prediction effectiveness of brain injury criteria on injury risk through reconstruction of pedestrian impact accidents[J]. Chin J Highway Transport, 2018, 31(4): 231-240. (in Chinese) | |
| [19] | Takahashi Y, Kikuchi Y, Konosu A, et al. Development and validation of the finite element model for the human lower limb of pedestrians[R]. SAE Tech Paper, 2000, 2000-01-SC22. |
| [20] | 韩勇, 杨济匡, 李凡. 汽车-行人碰撞中人体下肢骨折的有限元分析[J]. 吉林大学学报(工学版), 2011, 41(1): 6-11. |
| HAN Yong, YANG Jikuang, LI Fan, et al. Finite element analysis of lower extremity fractures in vehicle-pedestrian collision[J]. J Jilin Univ (Engi Tech Edit), 2011, 41(1): 6-11. (in Chinese) | |
| [21] | 刘志勇, 金隼, 胡敏. 基于行人保护的溃缩式前大灯设计研究[J]. 机械设计与制造, 2009(9): 45-47. |
| LIU Zhiyong, JIN Sun, HU Min. Study of frangible headlamp base on pedestrian protection[J]. Mach Desig Manufact, 2009(9): 45-47. (in Chinese) | |
| [22] | 李海岩, 李琨, 黄永强, 等. 轿车与6岁儿童行人不同方位碰撞中下肢损伤分析[J]. 汽车工程, 2021, 43(2): 262-268. |
| LI Haiyan, LI Kun, HUANG Yongqiang, et al. Analysis of lower extremity injury of six-year-old child pedestrian in different orientation collisions with car[J]. Autom Engineering, 2021, 43(2): 262-268. (in Chinese) | |
| [23] |
Mo F, Arnoux P J, Cesari D, et al. Investigation of the injury threshold of knee ligaments by the parametric study of car-pedestrian impact conditions[J]. Safe Sci, 2014, 62: 58-67.
doi: 10.1016/j.ssci.2013.07.024 URL |
| [24] | 惠有利. 行人交通事故中碰撞车速和行人身高对行人损伤风险的研究[J]. 机械设计与制造, 2016(5): 261-264. |
| HUI Youli. Research of velocity and human height effect on the risk of pedestrian injury in vehicle-pedestrian accident[J]. Mach Desig Manufact, 2016(5): 261-264. (in Chinese) | |
| [25] | 李凡, 叶铭杰, 黄巍, 等. 行人碰撞事故中颈部肌肉主动力对头部损伤的影响[J]. 汽车工程, 2022, 44(3): 385-391+411. |
| LI Fan, YE Mingjie, HUANG Wei, et al. Effects of neck muscle's active force on head injury in pedestrian collision accidents[J]. Autom Engineering, 2022, 44(3): 385-391+411. (in Chinese) | |
| [26] | 曲志冬, 肖森, 黄晶, 等. 面向年龄和车辆前部差异的行人下肢交通损伤[J]. 中国机械工程, 2020, 31(10): 1203-1212. |
| QU Zhidong, XIAO Sen, HUANG Jing, et al. Injury investigation in lower limb caused by automotive shapes and pedestrian ages during traffic crashes[J]. Chin Mech Engi, 2020, 31(10): 1203-1212. (in Chinese) | |
| [27] | 马洪顺, 董世纯, 刘彦, 等. 人体脊柱椎间盘及相邻椎体扭转的实验研究与损伤机理分析[J]. 试验技术与试验机, 1991(3): 43-45+33. |
| MA Hongshun, DONG Shichun, LIU Yan, et al. Experimental study and injury mechanism analysis of human spinal disc and adjacent vertebral torsion[J]. Engi Test, 1991(3): 43-45+33. (in Chinese) |
| [1] | 韩勇, 罗金镕, 何勇, 吴贺, 林旭洁, 蔡鸿瑜. 基于CART决策树的车辆与行人碰撞中头部损伤风险预测[J]. 汽车安全与节能学报, 2023, 14(5): 536-543. |
| [2] | 高文博, 吕晓江, 肖志, 莫富灏, 李桂兵. 事故工况下行人胸部与车辆碰撞的边界条件特征分析[J]. 汽车安全与节能学报, 2023, 14(5): 555-562. |
| [3] | 李子添, 李彬, 霍珅扬, 张晶, 吕小侠. 考虑动能回收的电动客车长下坡制动盘温升状态[J]. 汽车安全与节能学报, 2023, 14(3): 274-281. |
| [4] | 武和全, 龚创业, 任启凡, 周惠来. 头部旋转姿势下的颈部低速后碰响应[J]. 汽车安全与节能学报, 2023, 14(3): 282-289. |
| [5] | 张希, 廖宇兰, 李沁逸, 陈益庆. 安全行驶下的车用电机轴承的数字孪生故障诊断[J]. 汽车安全与节能学报, 2023, 14(2): 232-238. |
| [6] | 刘天泉, 王丙雨, 吴贺, 邹俊, 毛明祥. 保险杠刚度特性对行人头部及下肢的损伤影响[J]. 汽车安全与节能学报, 2023, 14(1): 17-22. |
| [7] | 徐哲, 高冠宇, 刘灿灿, 娄磊. 面向儿童约束系统的多点侵入侧碰方法及假人损伤[J]. 汽车安全与节能学报, 2023, 14(1): 38-45. |
| [8] | 汪选要, 程王峰, 马成程. 考虑人车路因素纵向避撞人机协同控制策略[J]. 汽车安全与节能学报, 2023, 14(1): 46-54. |
| [9] | 程洁, 郑凯, 秦嘉, 吴晓东. 面向智能车辆的EMB系统功能安全分析及应用设计[J]. 汽车安全与节能学报, 2023, 14(1): 69-79. |
| [10] | 叶凡, 王丙雨, 韩勇, 叶赛峰, 余意. 正碰下6岁儿童乘员的胸部运动学方程与损伤风险分析[J]. 汽车安全与节能学报, 2022, 13(4): 617-624. |
| [11] | 杨明俊, 卜晓兵, 郭庆祥. 基于某车型的不同乘员性别远端保护响应差异分析[J]. 汽车安全与节能学报, 2022, 13(4): 634-642. |
| [12] | 杨震, 王兴昌, 管立君, 孙海云, 范宇坤, 祝贺, 周大永, 谷先广. 中国乘用车乘员高危事故场景研究[J]. 汽车安全与节能学报, 2022, 13(4): 659-666. |
| [13] | 夏怀成, 韩向阳, 胡宽答. 速度和载荷对频率法胎压监测系统性能的影响[J]. 汽车安全与节能学报, 2022, 13(3): 429-437. |
| [14] | 邹铁方, 赵云龙, 肖璟, 李艳春. 耦合气囊及制动控制对人地碰撞损伤的防护及效果评估[J]. 汽车安全与节能学报, 2022, 13(3): 438-445. |
| [15] | 张平, 陈一凡, 江书真, 韩毅. 高速公路上自动超车过程的轨迹规划与跟踪控制[J]. 汽车安全与节能学报, 2022, 13(3): 463-472. |
| 阅读次数 | ||||||
|
全文 |
|
|||||
|
摘要 |
|
|||||