欢迎访问《汽车安全与节能学报》,

汽车安全与节能学报 ›› 2023, Vol. 14 ›› Issue (1): 38-45.DOI: 10.3969/j.issn.1674-8484.2023.01.005

• 汽车安全 • 上一篇    下一篇

面向儿童约束系统的多点侵入侧碰方法及假人损伤

徐哲(), 高冠宇, 刘灿灿, 娄磊   

  1. 中汽研汽车检验中心(天津)有限公司,天津 300000,中国
  • 收稿日期:2022-06-02 修回日期:2022-08-30 出版日期:2023-02-28 发布日期:2023-03-07
  • 作者简介:徐哲(1990—),女(汉),天津,工程师。E-mail:xuzhe@catarc.ac.cn

Multi-point intrusion side impact method for the child restraint system and dummy injury

XU Zhe(), GAO Guanyu, LIU Cancan, LOU Lei   

  1. CATARC Automotive Test Center (Tianjin) Co. Ltd., Tianjin 300000,China
  • Received:2022-06-02 Revised:2022-08-30 Online:2023-02-28 Published:2023-03-07

摘要:

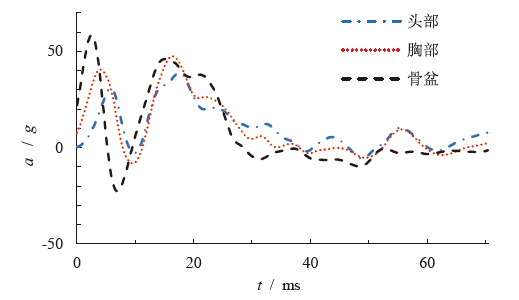
提出了一种面向儿童约束系统(CRS)的多点侵入台车侧面碰撞测试方法,以复现实车碰撞中车门不同部位的侵入情况。该方法与实车试验进行了对标验证。利用此测试方法进行多次台车侧碰试验,以研究儿童的头部损伤与儿童约束系统的安装方式、安装方向、以及不同大小的儿童假人的关系。结果表明:ISOFIX+支撑腿方式下的假人头部损伤低于ISOFIX+上拉带方式,这2种安装方式的头部性能指标和头部合成加速度的差异分别为25.8%和12.4%;后向安装比正向更有利于儿童头部的保护,2种安装方向的头部性能指标和头部合成加速度差异分别为47.8%和15.9%;头部损伤与假人的大小呈现负相关,假人越大,头部损伤减小。

关键词: 汽车安全, 被动安全, 侧面碰撞, 儿童约束系统(CRS), 多点侵入, 假人头部损伤

Abstract:

A multi-point intrusion sled side impact test method was proposed for Child Restraint System (CRS) to reproduce the intrusion on the different parts of door in real vehicle collisions. The method was verified with the real vehicle tests. Using this test method, sled side impact tests were carried out many times to investigate the relationship between the children head injury and the installation modes, the installation directions of the CRS, and the different sizes of child dummies. The results show that the dummy head injury in the ISOFIX+support leg mode is lower than that in the ISOFIX+top tether, the differences of head performance index and head resultant accelerations of the two installation modes are 25.8% and 12.4% respectively; the backward installation is more beneficial to the protection of children's head than forward installation, the differences of head performance index and head resultant accelerations of the two installation directions are 47.8% and 15.9% respectively; the head injury is negatively correlated with the size of the dummy, the larger the dummy, the smaller the head injury.

Key words: automotive safety, passive safety, side impact, child restraint system (CRS), multi-point intrusion, dummy head injury

中图分类号: