欢迎访问《汽车安全与节能学报》,

汽车安全与节能学报 ›› 2024, Vol. 15 ›› Issue (3): 329-336.DOI: 10.3969/j.issn.1674-8484.2024.03.005

• 汽车安全 • 上一篇    下一篇

通过嵌合管来增强负Poisson比结构的耐撞性能

周建中1,2(), 聂冰冰3, 孙会明1, 黄健4, 王良模1, 高强2,*()   

  1. 1.南京理工大学 机械工程学院,南京210094,中国
    2.东南大学 机械工程学院,南京211189,中国
    3.清华大学, 智能绿色车辆与交通全国重点实验室(原汽车安全与节能国家重点实验室),北京 100084,中国
    4.航天江南集团,贵州550009,中国
  • 收稿日期:2023-11-25 修回日期:2024-03-10 出版日期:2024-06-30 发布日期:2024-07-01
  • 通讯作者: *高强,副教授。E-mail:gaoqiang@seu.edu.cn
  • 作者简介:周建中(2000—),男(汉),江苏,硕士研究生。E-mail:zhouJZ@njust.edu.cn
  • 基金资助:
    汽车安全与节能国家重点实验室开放基金资助项目(KFZ2202);国家青年自然科学基金资助项目(2102421)

Crashworthiness of auxetic structure reinforced by embedding tubes with negative Poisson’s ratio

ZHOU Jianzhong1,2(), NIE Bingbing3, SUN Huiming1, HUANG Jian4, WANG Liangmo1, GAO Qiang2,*()   

  1. 1. School of Mechanical Engineering, Nanjing University of Science and Technology, Nanjing 210094, China
    2. School of Mechanical Engineering, Southeast University, Nanjing 211189, China
    3. State Key Laboratory of Intelligent Green Vehicle and Mobility (Former: State Key Laboratory of Automotive Safety and Energy), Tsinghua University, Beijing 100084, China
    4. Aerospace Jiangnan Group, Guizhou 550009, China
  • Received:2023-11-25 Revised:2024-03-10 Online:2024-06-30 Published:2024-07-01

摘要:

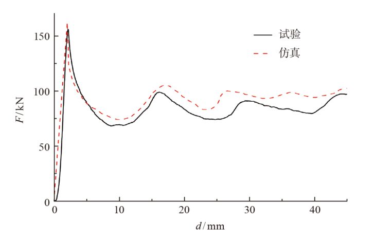
为了提高结构耐撞性,从而实现车辆轻量化,提出了一种嵌合管(由薄壁方形管嵌入双箭头格子而组成的)具有负Poisson比的增强型结构。通过负Poisson比的收缩效应,来增强负Poisson比结构和嵌合管的耦合作用。建立了增强型结构的有限元模型,并通过压缩试验,来验证其准确性;通过数值方法,在轴向载荷下,比较双箭头点阵结构、结构填充管和嵌合管负Poisson比增强型结构的耐撞性能,并进行了参数分析。结果表明:与双箭头点阵结构和填充管结构相比,增强型结构的总吸收能量为1.12 MJ,提升了约40%;比吸能13.2 kJ/kg,提升了约30%;短梁的夹角70°、长梁的夹角40°、长梁厚度1.4~1.6 mm、短梁厚度1.2 mm的结构填充管结构,具有较大的比吸能和较小的碰撞峰值力;增加嵌管厚度显著提升耐撞性能,但结构质量急剧增加,嵌管厚度达到1.2 mm左右时,兼顾耐撞性和轻量化的需求。

关键词: 汽车被动安全, 车辆轻量化, 结构耐撞性, 负Poisson比, 薄壁管

Abstract:

An enhanced structure with negative Poisson's ratio was proposed to improve the structural durability and achieve light-weighting of vehicles. The enhanced structural consisted of embedded tubes, which composed of thin-walled square tubes imbedded into double arrow lattice. The coupling effect between the negative Poisson's ratio structure and the embedded tubes was enhanced through the shrinking effect of negative Poisson's ratio. A finite element model of the enhanced structure was established with its accuracy being verified through compression tests. By using numerical methods, the durability performances of the double arrow lattice structure, the structure-filled tubes, and the enhanced structure with negative Poisson's ratio embedded tubes under axial loads were compared, and parameter analysis was conducted. The results show that the total absorbed energy of the enhanced structure is 1.12 MJ, an increase of about 40% compared to the double arrow lattice structure and filled tube structure; The specific energy absorption is 13.2 kJ, an increase of about 30%; The structure-filled tube structure with short beam angle of 70°, long beam angle of 40°, long beam thickness of 1.4~1.6 mm, and short beam thickness of 1.2 mm has greater specific energy absorption and smaller collision peak force; Increasing the thickness of embedded tubes significantly improves durability performance, but the structural mass increases sharply; The embedded tube thickness of around 1.2 mm meets the requirements of durability and light-weighting simultaneously.

Key words: passive safety of automobiles, vehicle light-weighting, structural crashworthiness, negative Poisson’s ratio, thin-walled tube

中图分类号: