欢迎访问《汽车安全与节能学报》,

汽车安全与节能学报 ›› 2024, Vol. 15 ›› Issue (1): 39-46.DOI: 10.3969/j.issn.1674-8484.2024.01.004

• 汽车安全 • 上一篇    下一篇

偏置碰撞中落地式油门踏板对驾驶员小腿损伤特征及保护

康巍(), 王刚, 鞠春贤, 王宇, 郭建保   

  1. 长城汽车股份有限公司技术中心,河北省汽车工程技术研究中心,保定071000,中国
  • 收稿日期:2023-11-01 修回日期:2024-01-24 出版日期:2024-02-29 发布日期:2024-02-29
  • 作者简介:康巍(1987—),男(汉),河北,工程师。E-mail:kangwei@gwm.cn

Injury characteristics and protection of driver's tibia caused by accelerator pedal mounted on floor in frontal offset collision

KANG Wei(), WANG Gang, JU Chunxian, WANG Yu, GUO Jianbao   

  1. Great Wall Motors Technology Center, Hebei Auto Engineering Technology Research Center, Baoding 071000, China
  • Received:2023-11-01 Revised:2024-01-24 Online:2024-02-29 Published:2024-02-29

摘要:

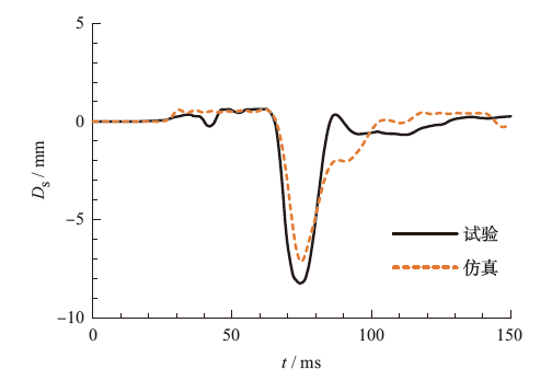
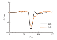
研究了Euro NCAP正面偏置碰撞工况中落地式油门踏板对驾驶员大腿及小腿产生的伤害机理,并制定了相应的腿部保护策略。对同一个平台上分别搭载悬挂式油门踏板和落地式油门踏板的2款车型,在整车碰撞过程中的脚部运动响应、伤害曲线特征进行分析研究;通过试验及有限元仿真分析,制定了相应的腿部保护策略;进行了整车试验验证。结果表明:悬挂式油门踏板对小腿的伤害产生在小腿下部,伤害形式为脚掌外翻产生的X向弯矩;落地式油门踏板脚掌外翻幅度较小,产生的伤害在小腿上部和大腿部位,伤害形式为由小腿胫骨撞击仪表板产生的胫骨弯曲导致的小腿上部Y向弯矩和膝盖滑动位移。与优化前相比,落地式油门踏板优化后的保护策略,使膝盖滑动位移(DS)降低72.2%,小腿右上胫骨指数(TI)降低48.6%;相对于同平台装载悬挂式油门踏板车型的情况,DS降低11.5%,TI降低25%。

关键词: 汽车被动安全, 正面偏置碰撞, 油门踏板, 小腿伤害, 大腿伤害

Abstract:

The driver's femur and tibia injury characteristics from the accelerator pedal mounted on floor in Euro NCAP frontal offset crash were investigated with formulating corresponding femur and tibia protection strategy. Including analyzing the characteristics of the foot kinematics and the injury curves during crash test for two kinds of vehicles equipped respectively with a body front panel and a floor mounted accelerator pedal on a same platform. An advanced strategy of femur and tibia protection was proposed by using tests and finite element simulation analysis, and was verified in the vehicle crash test. The results show that the tibia injury for the accelerator pedal on body front panel generates mainly in the lower tibia with the high bending moment in X direction caused by foot outward rotation; The injuries of the floor mounted accelerator pedal are small, which occurred in the upper tibia and femur with a high bending moment in Y direction and knee slider displacement caused by the impact of the tibia on the dashboard. By using the advanced strategy, the knee slider is improved by 72.2% with an upper tibia index (TI) of 48.6% compared to the strategy before optimization, while the knee slider displacement (DS) is improved by 11.5% with an upper tibia index of 25% compared to the stages of vehicle mounted accelerator pedal on body front panel.

Key words: vehicle passive safety, frontal offset collision, accelerator pedal, tibia injury, femur injury

中图分类号: