欢迎访问《汽车安全与节能学报》,

汽车安全与节能学报 ›› 2023, Vol. 14 ›› Issue (3): 346-354.DOI: 10.3969/j.issn.1674-8484.2023.03.010

• 智能驾驶与智慧交通 • 上一篇    下一篇

5G蜂窝车联网(C-V2X)资源分配优化与性能评估

洪莹1(), 沙宇晨1(), 丁飞1,2,*(), 陈竺1, 张登银1,2   

  1. 1.南京邮电大学 江苏省宽带无线通信和物联网重点实验室,南京 210003,中国
    2.南京邮电大学 通信与网络技术国家工程研究中心,南京 210003,中国
  • 收稿日期:2023-01-28 修回日期:2023-03-06 出版日期:2023-06-30 发布日期:2023-06-30
  • 通讯作者: *丁飞,副教授。E-mail:dingfei@njupt.edu.cn
  • 作者简介:洪莹(1999—),女(汉),湖北,硕士研究生。E-mail: 2893725331@qq.com
    沙宇晨(1996—),女(汉),江苏,博士研究生。E-mail: 554320330@qq.com
  • 基金资助:
    工业和信息化部产业技术基础公共服务平台项目(2019-00892-3-1);江苏省产业前瞻与关键核心技术(重点项目)(BE2019004-3);江苏省研究生科研创新计划(KYCX23_1054);江苏省研究生科研创新计划(KYCX23_1058)

Resource allocation optimization and performance evaluation for 5G cellular vehicle-to-everything (C-V2X)

HONG Ying1(), SHA Yuchen1(), DING Fei1,2,*(), CHEN Zhu1, ZHANG Dengyin1,2   

  1. 1. Jiangsu Key Laboratory of Broadband Wireless Communication and Internet of Things, Nanjing University of Posts and Telecommunications, Nanjing 210003, China
    2. National Local Joint Engineering Research Center for Communication and Network Technology, Nanjing University of Posts and Telecommunications, Nanjing 210003, China
  • Received:2023-01-28 Revised:2023-03-06 Online:2023-06-30 Published:2023-06-30

摘要:

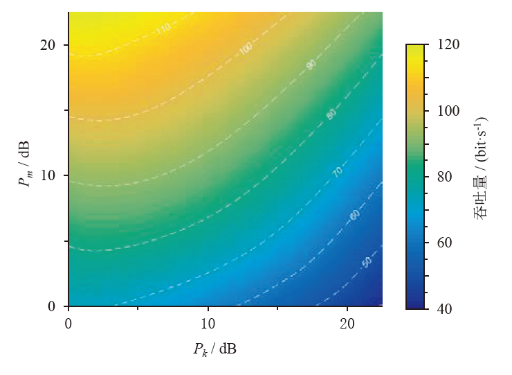
为改善蜂窝车联网(C-V2X)频谱利用效率,提出了一种针对系统下行吞吐量最大化、并保证车对车通讯(V2V)链路连接性的资源分配算法。定义蜂窝车联网信道模型,在最大发射功率、中断概率等约束条件下建立优化模型并对其进行分步求解,采用二分图最佳匹配(KM)算法动态调度信道资源,实现C-V2X通信系统中车辆到路边设施(V2I)下行链路与V2V链路之间动态分配网络资源,最后通过不同交通场景评估算法的优化性能。结果表明:本算法经7次迭代后进入稳态,在保证V2V链路连接性条件下实现了V2I链路资源的优化分配,下行链路频谱效率相较于贪心算法平均提升3.5%以上。

关键词: 智慧交通, 蜂窝车联网(C-V2X), V2X通信, 车对车通讯(V2V), 资源分配, 吞吐量

Abstract:

To improve the spectrum utilization efficiency of C-V2X (cellular vehicle to everything), a resource allocation algorithm was proposed to maximize system downlink throughput and ensure the connectivity of the V2V (vehicle to vehicle) communication. A channel model of cellular vehicle to everything was defined, the optimization model was established under the constraints of maximum transmission power, outage probability, etc., and was solved step by step. The KM (Kuhn-Munkras) algorithm was used to dynamically schedule channel resources to realize the dynamic allocation of network resources between the V2I (vehicle to infrastructure) downlink and the V2V link in the C-V2X communication system. The optimization performance of the algorithm was evaluated through different traffic scenarios. The results show that the proposed algorithm enters a steady state after seven iterations, achieves the optimal allocation of V2I link resources while ensuring the connectivity of V2V links, and the downlink spectrum efficiency increased by an average of more than 3.5% compared to the greedy algorithm.

Key words: intelligent transportation, vehicle-to-everything (V2X), cellular-V2X (C-V2X), resource allocation, throughput

中图分类号: