汽车安全与节能学报 ›› 2022, Vol. 13 ›› Issue (4): 738-749.DOI: 10.3969/j.issn.1674-8484.2022.04.015
朱波1,2(
), 张纪伟1(
), 谈东奎1,2,*(
), 胡旭东1
收稿日期:2022-05-21
修回日期:2022-07-25
出版日期:2022-12-31
发布日期:2023-01-01
通讯作者:
谈东奎
作者简介:*谈东奎,助理研究员。E-mail:tandongkui@126.com。基金资助:
ZHU Bo1,2(
), ZHANG Jiwei1(
), TAN Dongkui1,2,*(
), HU Xudong1
Received:2022-05-21
Revised:2022-07-25
Online:2022-12-31
Published:2023-01-01
Contact:
TAN Dongkui
摘要:
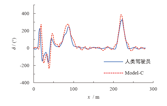
提出了一种基于多源传感器与导航地图的多端输入-单端输出(端到端)自动驾驶决策控制模型,以弥补现有端到端自动驾驶方法中基于深度神经网络(DNN)的PilotNet模型在主动避障行驶和交叉路口通行方面的不足。该模型的传感器数据输入端包括:单目前视摄像头、360( ° )多线激光雷达(LiDAR)所得二维俯视图、精准定位的局部导航地图等3部分;车辆控制命令输出端为方向盘转向角。进行了多工况仿真和实车试验。结果表明:与PilotNet模型相比,该模型的方向盘转向角均方根误差(RMSE)值下降了37%;因而,该模型具备主动避障和交叉路口通行的能力。
中图分类号:
朱波, 张纪伟, 谈东奎, 胡旭东. 基于多源传感器与导航地图的端到端自动驾驶方法[J]. 汽车安全与节能学报, 2022, 13(4): 738-749.
ZHU Bo, ZHANG Jiwei, TAN Dongkui, HU Xudong. End-to-end autonomous driving method based on multi-source sensor and navigation map[J]. Journal of Automotive Safety and Energy, 2022, 13(4): 738-749.
| 模型 | 输入数据 | t / ms | 车道保持功能 | 主动避障行驶 | 通过交叉路口 |
|---|---|---|---|---|---|
| PilotNet | 摄像头 | 3.9 | √ | × | × |
| Model-A | 摄像头 | 5.6 | √ | × | × |
| Model-B | 摄像头 + LiDAR | 9.8 | √ | √ | × |
| Model-C | 摄像头 + LiDAR + 导航地图 | 12.7 | √ | √ | √ |
| 模型 | 输入数据 | t / ms | 车道保持功能 | 主动避障行驶 | 通过交叉路口 |
|---|---|---|---|---|---|
| PilotNet | 摄像头 | 3.9 | √ | × | × |
| Model-A | 摄像头 | 5.6 | √ | × | × |
| Model-B | 摄像头 + LiDAR | 9.8 | √ | √ | × |
| Model-C | 摄像头 + LiDAR + 导航地图 | 12.7 | √ | √ | √ |
| [1] | 陈颖. 自动驾驶技术研究现状及发展趋势[J]. 能源技术与管理, 2021, 46(3): 34-37. |
| CHEN Ying. Research status and development trend of automatic driving technology[J]. Energy Tech Manag, 2021, 46(3): 34-37. (in Chinese) | |
| [2] | Broggi A, Cerri P, Debattisti S, et al. PROUD Public road urban driverless-car test[J]. IEEE Trans Intell Transp Syst, 2015, 16(6): 3508-3519. |
| [3] | Bojarski M, Yeres P, Choromanska A, et al. Explaining how a deep neural network trained with end-to-end learning steers a car[EB/OL]. (2017-04-25), https://arxiv.org/abs/1704.07911. |
| [4] | WANG Tinghan, LUO Yugong, LIU Jinxin, et al. End-to-end self-driving approach independent of irrelevant roadside objects with auto-encoder[J]. IEEE Trans Intell Transp Syst, 2020, 23(1): 641-650. |
| [5] | Pomerleau D A. Alvinn: An autonomous land vehicle in a neural network[C]// Adva Neural Info Proc Syst. San Francisco: Morgan Kaufmann Publishers Inc, 1989: 305-313. |
| [6] | LeCun Y, Muller U, Ben J, et al. Off-road obstacle avoidance through end-to-end learning[C]// Int’l Conf Neural Info Proc Syst, Vancouver, 2005: 1-8. |
| [7] | Bojarski M, Testa D, Dworakowski D, et al. End to end learning for self-driving cars[EB/OL]. (2016-04-25), http://arxiv.org/abs/1604.07316. |
| [8] | XU Huazhe, GAO Yang, YU Fisher, et al. End-to-end learning of driving models from large-scale video datasets[C]// Proc IEEE Conf Computer Vision Pattern Recog, IEEE, Honolulu, 2017: 2174-2182. |
| [9] |
胡学敏, 童秀迟, 郭琳, 等. 基于深度视觉注意神经网络的端到端自动驾驶模型[J]. 计算机应用, 2020, 40(7): 1926-1931.
doi: 10.11772/j.issn.1001-9081.2019112054 |
| HU Xuemin, TONG Xiuchi, GUO Lin, et al. End-to-end autonomous driving model based on deep visual attention neural network[J]. Computer Appl, 2020, 40(7): 1926-1931. (in Chinese) | |
| [10] | Codevilla F, Mller M, Lpez A, et al. End-to-end driving via conditional imitation learning[C]// 2018 IEEE Int’l Conf Robo Automation (ICRA). Brisbane, 2018: 4693-4700. |
| [11] | Sallab A, Abdou M, Perot E, et al. Deep reinforcement learning framework for autonomous driving[J]. Electronic Imaging, 2017(19): 70-76. |
| [12] | CHEN Siyuan, WANG Meiling, SONG Wenjie, et al. Stabilization approaches for reinforcement learning-based end-to-end autonomous driving[J]. IEEE Trans Vehi Tech, 2020, 69(5): 4740-4750. |
| [13] | SONG Wenjie, LIU Shixian, LI Yujun, et al. Smooth actor-critic algorithm for end-to-end autonomous driving[C]// 2020 Ame Control Conf, ACC, Colorado: 2020: 3242-3248. |
| [14] | Abdou M, Kamal H, El-Tantawy S, et al. End-to-end deep conditional imitation learning for autonomous driving[C]// 2019 31st Int’l Conf Micro- Electronics (ICM), IEEE, Beijing, 2020: 346-350. |
| [15] | 卢宏涛, 张秦川. 深度卷积神经网络在计算机视觉中的应用研究综述[J]. 数据采集与处理, 2016, 31(1): 1-17. |
| LU Hongtao, ZHANG Qinchuan. A review of the application of deep convolutional neural networks in computer vision[J]. Data Acqu Proce, 2016, 31(1): 1-17. (in Chinese) | |
| [16] | Simonyan K, Zisserman A. Very deep convolutional networks for large-scale image recognition[EB/OL]. (2015-04-10), https://arxiv.org/abs/1409.1556. |
| [17] | Toth L. Phone recognition with deep sparse rectifier neural networks[C]// IEEE Acoustics Speech Signal Proc (ICASSP), IEEE, California: 2013: 6985-6989. |
| [18] | CHEN Zhilu, HUANG Xinming. End-to-end learning for lane keeping of self-driving cars[C]// 2017 IEEE Intell Vehi Symp (IV). IEEE, Los Angeles, 2017: 1856-1860. |
| [19] | Jhung J, Bae I, Moon J, et al. End-to-end steering controller with CNN-based closed-loop feedback for autonomous vehicles[C]// 2018 IEEE Intell Vehi Symp (IV). IEEE, Changshu, 2018: 617-622. |
| [20] | Mihalea A, Samoilescu R, Nica A, et al. End-to-end models for self-driving cars on UPB campus roads[C]// 2019 IEEE 15th Int’l Conf Intell Computer Commu Proc (ICCP). IEEE, Tokyo, 2019: 35-40. |
| [21] | YANG Zhengyuan, ZHANG Yixuan, YU Jerry, et al. End-to-end multi-modal multi-task vehicle control for self-driving cars with visual perceptions[C]// 2018 24th Int’l Conf Pattern Recog (ICPR). IEEE, Beijing, 2018: 2289-2294. |
| [1] | 魏孟, 王桥, 叶敏, 廉高棨, 徐信芯. 基于dropout-MC递归神经网络的锂电池剩余寿命预测[J]. 汽车安全与节能学报, 2022, 13(3): 541-549. |
| [2] | 朱艳, 谢忠志, 于雯, 李曙生, 张逊. 低光照环境下基于面部特征点的疲劳驾驶检测技术[J]. 汽车安全与节能学报, 2022, 13(2): 282-289. |
| [3] | 胡远志, 蒋涛, 刘西, 施友宁. 基于双流自适应图卷积神经网络的行人过街意图识别[J]. 汽车安全与节能学报, 2022, 13(2): 325-332. |
| [4] | 王宝琳, 夏怀成, 董倩倩. 车辆转弯工况下间接式胎压监测系统脉冲数的修正[J]. 汽车安全与节能学报, 2021, 12(4): 507-515. |
| [5] | 张平, 迟志诚, 陈一凡, 惠飞. 用于自动驾驶车辆的融合注意力机制多目标跟踪算法[J]. 汽车安全与节能学报, 2021, 12(4): 516-521. |
| [6] | 李耀华, 范吉康, 刘洋, 何杰, 李泽田, 潘绍飞. 自适应双时域参数MPC的智能车辆路径规划与跟踪控制[J]. 汽车安全与节能学报, 2021, 12(4): 528-539. |
| [7] | 冯敏健, 张辉, 巨志扬, 许庆. 基于LGSVL/ Apollo的网络延迟攻击下自动驾驶车辆定位估算[J]. 汽车安全与节能学报, 2021, 12(1): 62-69. |
| [8] | 罗浩文, 吴小娟, 张铭涛. 固体氧化物燃料电池系统的复合优化在线控制策略[J]. 汽车安全与节能学报, 2020, 11(4): 553-559. |
| [9] | 谢辉, 聂振华, 陈韬. 基于 Bayes 正则化的柴油机神经网络燃烧预测模型[J]. 汽车安全与节能学报, 2020, 11(3): 345-354. |
| [10] | 申恩恩,胡玉梅,陈光,罗攀,朱浩. 智能驾驶实时目标检测的深度卷积神经网络[J]. JASE, 2020, 11(1): 111-116. |
| [11] | 张晨阳,李曙光,李耀华,姚进,祝磊,王敏. 基于驾驶模拟器和 fNIRS 的与晕动病相关脑活动区的差异性[J]. JASE, 2019, 10(4): 433-442. |
| [12] | 胡远志,刘俊生,何佳,肖航,宋佳. 基于激光雷达点云与图像融合的车辆目标检测方法[J]. JASE, 2019, 10(4): 451-458. |
| [13] | 戴荣健,丁川,鹿应荣,赵福全. 自动驾驶环境下车辆轨迹及交通信号协同控制[J]. JASE, 2019, 10(4): 531-539. |
| [14] | 李升波, 关 阳,侯 廉,高洪波,段京良,梁 爽,汪 玉,成 波,李克强,任 伟,李 骏. 深度神经网络的关键技术及其在自动驾驶领域的应用[J]. JASE, 2019, 10(2): 119-145. |
| [15] | 白 傑,郝培涵,陈思汉. 用轻量化卷积神经网络图像语义分割的交通场景理解[J]. JASE, 2018, 9(4): 433-440. |
| 阅读次数 | ||||||
|
全文 |
|
|||||
|
摘要 |
|
|||||