欢迎访问《汽车安全与节能学报》,

汽车安全与节能学报 ›› 2024, Vol. 15 ›› Issue (4): 536-544.DOI: 10.3969/j.issn.1674-8484.2024.04.010

• 汽车节能与环保 • 上一篇    下一篇

低比例甲醇掺混下氨/甲醇燃烧的化学机制和N2O生成分析

靳广杰1(), 陆明飞1, 刘行2, 隆武强1,*(), 王鹏1   

  1. 1.大连理工大学 能源与动力学院,大连 116000,中国
    2.航天规划设计集团有限公司 第七总体部,北京 100071,中国
  • 收稿日期:2024-04-20 修回日期:2024-05-07 出版日期:2024-08-31 发布日期:2024-09-05
  • 通讯作者: *隆武强,教授。E-mail:longwq@dlut.edu.cn
  • 作者简介:靳广杰(1998—),男(汉),山西,硕士研究生。E-mail:jinguangjie2021@163.com
  • 基金资助:
    国家重点研发计划项目(2022YFB4300700)

Chemical mechanism and N2O generation analysis of ammonia-methanol combustion in low proportions of methanol blends

JIN Guangjie1(), LU Mingfei1, LIU Xing2, LONG Wuqiang1,*(), WANG Peng1   

  1. 1. School of Energy and Power Engineering, Dalian University of Technology, Dalian 116000, China
    2. Aerospace Planning and Design Group Co., Ltd. Seventh General Department, Beijing 100071, China
  • Received:2024-04-20 Revised:2024-05-07 Online:2024-08-31 Published:2024-09-05

摘要:

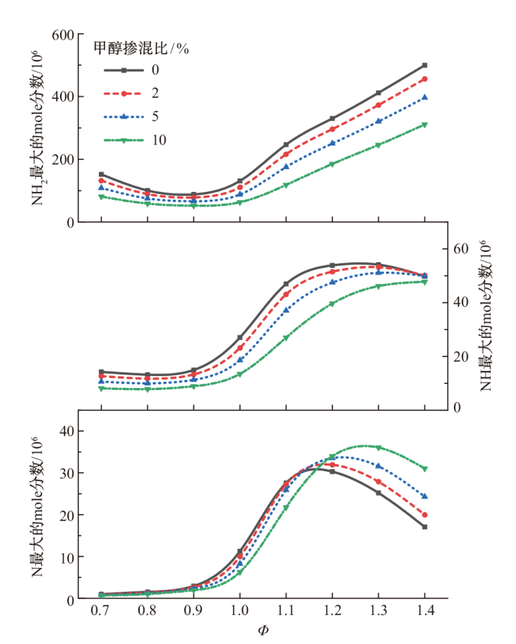
为探究氨燃料减少温室气体(GHG)排放的效益,克服氨点火能量较高、层流火焰速度较慢的缺点, 使用Chemkin构建化学反应器网格(CRN)仿真模型对低比例甲醇(0~10%)与氨掺混燃烧进行组分演化、产物生成速率和敏感性分析, 利用化学反应动力学,分析N2O生成和还原机理。结果表明:纯氨燃烧在当量比为1.1~1.2时,可同时降低NO、未燃NH3和N2O的排放,较纯甲醇燃烧可减少70%以上的温室气体排放;当量比超过0.9时,氨燃烧的GHG排放始终低于纯甲醇燃烧。加入甲醇能有效控制N2O生成,进一步降低GHG排放。在富燃条件下,甲醇的添加促进了H的生成,使N2O消耗增加;在贫燃条件下,甲醇的增强抑制了NH的生产,使N2O生成降低。另外,提高压力和温度也能有效降低温室气体排放。

关键词: 氨/甲醇燃烧, 化学反应机理, 化学动力学建模, 甲醇掺混, 一氧化二氮(N2O)

Abstract:

In order to investigate the benefits of ammonia fuel in reducing greenhouse gas (GHG) emissions, and overcome the shortcomings of high ammonia ignition energy and slow laminar flame speed, a chemical reactor network (CRN) model of the combustion of methanol-ammonia mixtures was developed using Chemkin to analyze the component evolution, product generation rate and sensitivity of low proportion methanol (0~10%) and ammonia combustion. Chemical reaction kinetics was used to analyze the N2O generation/reduction mechanism. The results show that pure ammonia combustion at equivalence ratios of 1.1-1.2 can concurrently decrease emissions of NO, unburned NH3, and N2O, resulting in a reduction of over 70% in GHG emissions compared to pure methanol combustion. Ammonia combustion remains beneficial for GHG emission control when the equivalence ratio exceeds 0.9. Methanol addition effectively controls N2O generation, further mitigating GHG emissions. Under rich combustion conditions, methanol addition promotes H generation, leading to increased N2O consumption. However, under lean combustion conditions, methanol enhances the suppression of NH production, resulting in reduced N2O generation. Moreover, increasing pressure and temperature can effectively reduce GHG emissions, although the mechanisms vary.

Key words: ammonia-methanol combustion, chemical mechanism, kinetic modelling, methanol addition, nitrogen dioxide(N2O)

中图分类号: